главная о лаборатории новости&обновления публикации архив/темы архив/годы поиск альбом
Виталий СААКОВ, рук.PRISS-laboratory / открыть изображение Виталий СААКОВ, рук.PRISS-laboratory / открыть изображение БИБЛИОТЕКА
тексты Московского методологического кружка и других интеллектуальных школ, включенные в работы PRISS-laboratory
Щедровицкий Георгий Петрович
  Щедровицкий Георгий Петрович, 23.02.1929 — 03.02.1994, философ и методолог, общественный и культурный деятель. Создатель научной школы, лидер основанного и руководимого им на протяжении 40 лет Московского Методологического Кружка (ММК) и развернувшегося на его основе методологического движения. Разрабатывал идею методологии как общей рамки всей мыследеятельности.
виталий сааков / priss-laboratory:
тексты-темы / тексты-годы / публикации
     
вернуться в разделш библиотека  
содержание разделаш На перекрестке мысли: введение в системомыследеятельностный подход  
    Предисловие  
  I. Проблемы построения теории мышления и системомыследеятельностный подход
    Проблемы построения теории мышления
    1. [Пространство методологической работы и деятельностный подход]
    2. [Проблемы организации пространства методологического мышления. Рефлексия и мышление]  
    3. Мышление, мыслительная деятельность и деятельность  
    Сноски и примечания  
    4. [Смысл методологической работы. Проблематизация основных методологических понятий]  
    5. [Построение понятий и вопросы онтологии]  
    6. [Понятие рефлексии. Рефлексия и мышление. Рефлексия и сознание]  
    Сноски и примечания  
    7. [Чистая рефлексия и организованная рефлексия]  
    Сноски и примечания  
  II. «Подход» – что это?
    О понятии «подход»
    1 Деятельностный подход. Введение в тему
    2. Системно структурный подход
    3. О понятии «подход» (продолжение)
    4. О системном подходе в структуре подхода
    Сноски и примечания  
  III. Как «подход» употреблять в кооперативной работе?
    5. В чем специфика методологического подхода к проблемам науки
    6. Системно структурный подход в анализе и описании эволюции мышления
    7. Проблемы организации исследований: от теоретико мыслительной к оргдеятельностной методологии анализа
    8. Нормативно деятельностный подход в исследовании интеллектуальных процессов
    9. Дискуссия
    10. Вопросы и дискуссия по пленарному докладу Г.П.Щедровицкого на психологической секцииссия
    11. Человеческая деятельность и предметный мир
    1. Старые понятия и новый подход
    2. Основания объектно-онтологической картины
    3. Схема анализа предметного мира и людей в контексте деятельностного подхода
    Сноски и примечания  
  IV. Как «подход» передавать другим (воспроизводство)?
  О значении исследования коммуникации для развития представлений о мыследеятельности
  Методологический смысл оппозиции натуралистического и системодеятельностного подходов
  Организационно-деятельностный подход: цели и задачи психологических исследований в сфере физкультуры и спорта
  I. Современное состояние, основные проблемы и перспективы развития психологии спорта
  2. Организация и управление в контексте борьбы и конкуренции – суть спортивной работы
  3. Значение знаний для развивающейся сферы деятельности. Проблема приложения знаний
  4. Простейшая схема цикла жизни знания
  5. Схема использования нескольких разнопредметных знаний
  6. Проблема применения научных знаний в практике. Идеальные объекты науки и реальные предметы практики
  7. Представление о прикладной дисциплине
    Сноски и примечания  
       
  Литература
  Именной указатель
  Над книгой работали
       
  текст в формате Word
источник: http://www.litres.ru/pages/biblio_book/?art=71388268
«Учение Георгия Щедровицкого: в 10 т. Том I : Подход. Книга 1 : На перекрестке мысли: введение в системомыследеятельностный подход / Г.П.Щедровицкий»: Манн, Иванов и Фербер; Москва; 2024
ISBN 9785002146123
 
  Издано при поддержке Некоммерческого научного фонда «Институт развития им. Г.П.Щедровицкого»
Редактор составитель Г.А.Давыдова
 
     
  НА ПЕРЕКРЕСТКЕ МЫСЛИ: ВВЕДЕНИЕ В СИСТЕМОМЫСЛЕДЕЯТЕЛЬНОСТНЫЙ ПОДХОД  
4. [Смысл методологической работы. Проблематизация основных методологических понятий]  

Итак, я задал схему, организующую пространство методологической работы (см. рис. 4)…, и все наше прошлое заседание было посвящено тому, чтобы различить и зафиксировать два принципиально разных способа работы с этой схемой: один, который я называл «чистым мышлением»; второй – по оппозиции – может быть назван «мышлением в контексте деятельности», или мышлением, посвященным решению практических, деятельностных задач.
Анатолий Александрович [Тюков] в прошлый раз пытался помочь нашей коммуникации и задавал вопросы, провоцируя меня на то, чтобы я определил эти два понятия: понятия чистого мышления и мышления, включенного в деятельность. Ибо казалось (и, наверное, это в какой то мере основательно), что без таких понятий трудно понимать, трудно рассуждать и т.д. А я все время отказывался эти различения давать и сейчас хотел бы буквально за две минуты пояснить сам этот прием и основания для него.
Это только формалистские концепции ввели в нашу практику представления, что слова должны быть однозначными. Односмысленная речь и так называемое односмысленное мышление – это вообще не речь и не мышление. Сами математики, чем больше они говорят о формализации, операционализации, тем меньше они это реально делают. Потому что делать этого нельзя практически. Но это распространенные, бытовые иллюзии, которые очень мешают нашей работе, часто включаются в коммуникацию и определяют псевдотребования к ее организации. Но это замечание – в сторону.
Прежде чем я двинусь дальше, мне нужно сделать еще одно замечание по основной линии. В самом конце прошлого заседания, отвечая на вопросы и замечания Сергея Васильевича Брянкина, я стал обсуждать смысл и назначение методологии и методологической работы. Я хочу еще раз напомнить основной тезис, который я тогда формулировал… До сих пор подавляющее большинство гносеологов, эпистемологов, методологов, даже те, кто занимается методологией профессионально и только ей, по прежнему считают, пишут, говорят, что методология есть служанка науки и существует и предназначена для того, чтобы обслуживать какие то там запросы науки, давать ей средства, уточнять ее понятия и т.д. В противоположность этому я считаю, что методология и методологическое мышление не есть служанка науки, а есть самоценность, особая форма организации мышления и деятельности, приходящая на смену другим – весьма ограниченным – формам организации мышления и деятельности.
И из этого крайне важного и принципиального тезиса вытекает масса уже более конкретных определений методологического мышления, задач самой методологии. В частности, из этого вытекает, что мы не можем и не должны рассматривать методологическое мышление и методологическую работу с точки зрения ее продуктивных выходов.

Это представление о продуктивности является следствием «служаночной» трактовки методологии. Например, мы спрашиваем: а какую пользу приносит наука? И отвечаем обычно: она создает определенный продукт, который нужен, например, для производства, и в той мере, в какой наука обслуживает производство, она оправдывает свое существование. Точно так же методология создает определенные продукты, которые нужны науке, практике, организации и управлению и т.д., и поэтому ее существование оправданно, и поэтому мы можем допустить ее, даже тратить на нее какие то деньги и вообще что-то делать.
А что, если мы теперь начнем применять эту стратегию ко всем другим сферам мышления и деятельности? Например, мы можем спросить: а зачем нужно производство? Мы же сейчас знаем, что сложнейшие, большие цивилизации вообще обходились без этого и очень хорошо развивались. Зачем нужна организация и управление? И будем говорить: организация и управление нужны нам, потому что они что то обслуживают… Мы приходим к такому странному замыканию: выясняется, что все друг друга обслуживают, все друг на друга работают… Но, наверное, не в этом смысл оправдания. Дело в том, что все они существуют и все они развиваются безотносительно к тому, как они обслуживают и почему обслуживают.
Продуктивный подход есть следствие такой плоской развертки сложнейших, взаимозамкнутых систем развивающихся деятельности и мышления в псевдолинейные пары. То есть, когда мы производим такое рассечение универсума нашей деятельности и мышления и раскладываем в парно связанные сферы, тогда мы можем говорить, что левое задается тем, что оно задает определенный продукт правого. Мы пользуемся понятием продукта и раскладываем все это на линейные структуры продуктивного обеспечения. Я не хочу сказать, что этот прием в принципе неверен, что им не надо пользоваться. Надо. Но надо очень четко понимать его назначение и смысл. Он не характеризует подлинности объекта. Он есть лишь наш прием организации и как таковой имеет право на существование. Но его ни в коем случае нельзя универсализировать. И поэтому я говорю, что если мы становимся на точку зрения некоторой универсальной, тотальной организации мышления и деятельности, то мы должны в принципе отказаться от идеи продуктивной оценки, или оценки этой сферы по продукту.
Мы в противоположность этому должны говорить о том, что методологическая работа сама себя организует, и должны рассматривать формы ее самоорганизации. И такой подход является имманентным для любой сферы деятельности и мышления. Не надо спрашивать, кого обслуживает методология. Надо спрашивать, каковы формы организации, характерные для методологии и методологического мышления.
Соответственно, каковы формы организации, характерные, скажем, для научного мышления, или для практико методического мышления, или для инженерного мышления и деятельности. И тогда мы получаем множество разных форм организации, которые в какой то мере сменяют друг друга исторически; мы можем периодизировать историю человечества в каком то отношении к этим типам и видам организации мышления и деятельности. В какой то мере они могли существовать и существовали параллельно друг другу, взаимодополняя друг друга и т. д. Следовательно, шло несколько разных параллельных потоков организации, и они часто пересекались. Следовательно, были смешанные организации, были достаточно чистые и т.д.
Но как только мы становимся на такую позицию – что есть определенная форма организации методологического мышления и деятельности – и задаем себе вопрос, в чем же состоят наши цели и задачи, то ответ будет совершенно однозначным: в том, чтобы развивать и совершенствовать эти формы. И только в этом. И, по сути дела, никакой другой цели и задачи вообще не может быть. Поэтому, если мне задают вопросы, для чего создается эта схема (см. рис. 4), я отвечаю: для самоорганизации. Я таким образом хочу организовать мое собственное мышление, мою собственную деятельность или – методологическое мышление и методологическую деятельность. И я никому эту форму передавать не хочу. У меня нет такой задачи. Поскольку у меня вообще нет задачи кого то, кроме самого себя, обслуживать. Я действую по принципу, что спасение утопающих – дело рук самих утопающих.
Теперь давайте продолжим эту линию дальше. Но тогда и все дальнейшее, что будет создаваться на базе этой схемы, тоже есть лишь средство самоорганизации, или средство самоорганизации этого самого методологического мышления и этой самой методологической деятельности. Тут возникает сразу два вопроса… Дает ли это что то другим? Да, конечно. Но только в той мере, в какой они хотят реализовать методологическое мышление и методологическую деятельность. Поэтому здесь нельзя говорить «для меня». Надо говорить: для этой деятельности, для этого мышления и для всех тех, кто будет его осуществлять. А так как по идее его должны осуществлять все и со временем так оно и будет, то, следовательно, и для всех. Но только не потому, что они занимаются наукой, инженерией, организацией, управлением и т.д., а потому, что они будут, решая все эти практические задачи, мыслить методологически. Вот поскольку и для всех остальных. Но только в рамках методологии.
 
И второе замечание. Может показаться, что, принимая такую установку самоорганизации, я перехожу на позиции субъективные и даже психологические, что это – отступление перед психологизмом. Ничего подобного. Создавая эти формы самоорганизации, или организации своего мышления и своей деятельности, я все время ориентируюсь на понятие правильного мышления и правильной деятельности. Если бы не было этой второй задачи – правильно мыслить, эффективно мыслить, то не нужно было бы ничего организовывать. Поэтому сама эта схема, как и все дальнейшее, что здесь случается, создается не в силу того, что это мое, его или вообще чье то личное, а оно создается с установкой на создание правильных форм. И эта установка сразу же выводит нас за рамки субъективизма и психологизма и задает совершенно объективные критерии.
Я сейчас не обсуждаю очень тонкие и важные вопросы о том, чем определяется эта правильность. Там есть масса факторов, которые ее определяют, причем факторов совершенно разнородных… Например, использование всего того арсенала средств и методов, которые наработаны к данному историческому срезу. Мы можем так определять правильность мышления: что правильным является только то мышление, которое учитывает все разнообразие средств и методов. Скажем, принцип синтетичности кладется в основание идеи правильности. Мы можем определять правильность данных средств и форм организации мышления в той мере, в какой они, скажем, снимают оппозицию деятельной ситуации и данной действующей системы, то есть вписывают ее в общесоциальную и социокультурную организации. Например: я действую правильно, если мои действия интерсубъективны, то есть принимаются этим сообществом и группой и ими каким то образом стандартизуются и оправдываются. Я могу, например, брать естественно научные принципы правильности, например: в какой мере моя деятельность учитывает материал, на котором она развертывается, и естественную жизнь этого материала, в какой мере, скажем, моя деятельность отражает жизнь этого материала, его законы, или в какой мере наша деятельность отражает жизнь этого материала, его законы, или в какой мере наша деятельность и наши технологии, порождаемые деятельностью, вписываются в жизнь этого материала. Каждый раз будет меняться понятие правильности. Если Мичурин считал, что «нельзя ждать милостей от природы, а надо брать их у нее», то мы считаем, что это было совсем неправильно, что нам нужны другие принципы правильности, а именно: воспроизводство самой природы, к примеру, за счет наших технологий.
Таким образом, здесь может по разному определяться понятие правильности. Мне сейчас не важны все эти варианты. Наверное, это понятие точно так же должно задаваться синтетически и брать весь набор этих моментов и учитывать их все. Мне важно только заметить, что разработка этих средств и схем организации идет в соответствии с принципом правильности, следовательно, выходит за рамки и субъективизма, и психологистической трактовки. И следующий пункт, который точно так же очень важен… Тогда у меня получаются цели и задачи двух типов… Я в одном случае могу решать какие то, в принципе – любые практические задачи, возникающие в любой сфере деятельности, при любой ее организации. Например, практические, инженерные, организационно управленческие и т.д. Никакой разницы нет, какую проблему решать, важно, как ее решать. А решать ее каждый раз надо методологически. Не важно, где она ставится: идет ли речь об организации ЖЭКа, или спортивной команды на заводе, или группы, проводящей научные исследования. Ведь в принципе то по отношению к Духу никакой разницы между ними нет. Нет «низких» и «высоких» деятельностей. Деятельность дворника или сапожника столь же значима, как и деятельность ученого. Может быть, даже более значима. Важно только все это рассматривать в методологическом контексте и, решая каждую практическую задачу, через нее как через форму развивать формы организации методологии, методологического мышления, методологической деятельности. Это будет одна группа, класс целей и задач. А другой класс задач может быть поставлен в обобщенном виде, а именно: развивать сами средства, методы и формы организации методологии. И тогда предмет работы задается не частными практическими задачами, а фактически так нарисованной схемой пространства всего методологического мышления (см. рис. 4), и все задачи ставятся относительно этого пространства как целого.
И легко увидеть, что при такой трактовке двух типов целей и задач я могу воспользоваться старым, традиционным различением практического и теоретического. Я, например, могу считать, что все задачи первого класса являются практическими для методологии, а задачи второго класса (точнее, одна задача) является теоретической в собственном смысле слова. И тогда у нас точно так же, как это было раньше, при других формах организации, будет работать эта оппозиция практического и теоретического.
Практические задачи будут некоторым поводом и материалом для развития форм организации методологии, но подлинная то цель будет всегда одной: что бы мы ни делали, мы каждый раз должны развивать методологию, методологическое мышление, конструируя, проектируя, разворачивая ее средства и методы, те или иные ее организованности. И это тогда будет организм, который постепенно растет, формируя внутри себя все необходимые функции, подразделения, и охватывает, ассимилирует весь материал человеческой деятельности и человеческого мышления.
Какой является задача, которую мы сейчас обсуждаем? Итак, перед нами есть задача построения теории мышления. Она для меня в данном случае является практической задачей. Но эта же задача – построения теории мышления – проецируется в план методологии, в пространство методологической рефлексии, методологического мышления. И когда я осуществляю такое проецирование, то я могу эту практическую задачу решать теоретически, переводя ее, соответственно, в форму вопроса: как я должен развить, трансформировать и по новому соорганизовать пространство методологической рефлексии и методологического мышления, чтобы иметь возможность построить теорию мышления? И нетрудно увидеть, что практически все задачи имеют такой двойной план: практический и теоретический. Кроме чисто теоретически поставленной этой одной задачи: как можно развивать? Но обратите внимание, что особенность методологического мышления, именно как методологического, а не научно теоретического, – в его двуслойности. И поэтому я прихожу к утверждению, что даже если мы начинаем с теоретической работы и чисто теоретической постановки вопроса, то все равно я должен найти те или иные практические модели, на материале и примерах которых я и буду развивать формы организации методологического мышления и методологической деятельности.
Итак, я заканчиваю эту заметочку… Все, что будет делаться в дальнейшем, имеет практически одну цель: развитие форм методологической деятельности. Практические задачи, возникающие в других сферах и областях деятельности и мышления, являются лишь поводом, они должны решаться каждый раз методологически, но они необходимы, ибо, как мы сейчас прекрасно понимаем, направление развития методологии безгранично, как вообще человеческие мысль и деятельность. И поэтому они должны быть соорганизованы соответственно зонам ближайшего развития или вообще зонам возможного развития – так, чтобы это все не разрывалось и сохранялась некоторая цельность.
 
И в этом плане практические задачи часто служат таким естественным ограничителем. Вот и все. Но никакого принципиального различия между ними нет и быть не может.
Брянкин: Отдельные практические задачи должны приводить к фрагментарности методологии.
Это неправильно. И вот почему… Тут очень важна онтология, которую вы приняли. Я думаю, что тут надо воспользоваться той моделью, которую развивал Тейяр де Шарден(21). Это модель лучевой организации. Представьте себе, что у вас есть ограниченные ресурсы, которые вытекают из определенной точки, источника. Чем дальше будет идти движение, тем оно будет идти медленнее… Тейяр де Шарден говорил, что человечество давным давно встало на принципиально иной путь: оно реализует не все возможности, а оно секторно, или лучевым образом, организует свое движение. Эта линия выбрана совершенно случайно. И отсюда возникает важная значимость искусственного фактора.
Наша история есть искусственно естественная история. И поэтому когда я сейчас говорю, что решать надо методологические задачи, заданные развитием методологического мышления, что это есть сегодня историческая задача, то тем самым я кардинальным образом меняю понятие практики. Ведь фактически наши с вами расхождения определяются тем, что я пользуюсь этой моделью, а вы – нет. Вы ведь мне задаете такой вопрос: если возникает некоторая практическая задача, лежащая за границами этой линии развития, то нужно ее решать или нет? Нет, не нужно, говорю я, потому что это уже незначимая задача. Она вроде бы практическая, но только ее решать не нужно. Надо определенным образом сузить все усилия для того, чтобы ускорить развитие. Эта линия развития сегодня для человечества состоит в том, чтобы разрабатывать методологию, методологическое мышление.
И я бы еще добавил здесь к тому, что я говорил… Если мы убираем продуктивную позицию, то единственным критерием для социокультурного развития становится производительность труда и эффективность. Развиваться надо так, чтобы непрерывно росла производительность труда и эффективность. А вы меня спрашиваете: канавы надо рыть или нет? Но если все это так, то при чем здесь теория мышления? И почему, собственно, надо говорить про теорию мышления, обсуждать это? А может быть, надо обсуждать совершенно другое? Основная задача состоит не в том, чтобы обсуждать, как построить теорию мышления… Прежде всего [надо обсуждать] формы, способы фиксации методологического мышления и деятельности, разнообразные формы и способы в культуре и их передачу следующим поколениям.
Как тогда ставится задача? Первое: на каждой задаче надо развить, развернуть, построить определенные способы, средства, образцы методологического мышления и деятельности. Но этого мало. Поскольку эта работа синтагматическая, креативная, а важно еще обеспечить передачу этого из поколения в поколение. И, следовательно, если мы здесь, в схеме этого пространства, начинаем разворачивать разные формы, то ведь потом они должны превратиться в набор различных культурно фиксированных форм, может быть, с модификациями, может быть – без. А потом это должно быть передано следующим поколениям. То есть все это должно быть 1) так оформлено и 2) так социально организовано, чтобы это могло непрерывно воспроизводиться. И тогда основной то вопрос и состоит в том, что же это за формы. Если мы будем считать, что здесь и разворачивается креативная работа, и как то дальше будем обсуждать вопрос о конкретных структурах организации, то дальше это все должно быть зафиксировано в соответствующих культурных образцах. И когда мы ставим вопрос таким образом, то первое, что мы говорим: не теории обеспечивают воспроизводство, а именно эти образцы. А какую роль играют теории вообще и теория мышления в частности – это совершенно неясно.
Второй пункт. После того как эти образцы собраны и закреплены… Задача ведь состоит не в том, чтобы теоретически описывать мышление, а в том, чтобы обеспечить передачу живого мышления. А это осуществляется в первую очередь не за счет теории и теоретического описания, а совершенно в других формах – в виде набора определенных учебных предметов. Хотя… Учебные предметы будут третьей формой. А здесь должны быть особым образом зафиксированы как то отдельные средства, методы, принципы, правила, логики, наборы понятий и т.д. Фактически это различные формы фиксации содержания трансляции. И, значит, кроме того, должна быть определенная идеология, оформляющая все это, – идеология методологии. И только где то здесь, на уровне пункта «е», после истории, появляется то, что может быть названо научно теоретическими формами фиксации мышления.
И, наконец, очень важный пункт – это социальные, социокультурные формы организации. Это, скажем, то, чем является этот наш семинар или другие типы семинаров с определенными типами общения, дискуссий, с определенной организацией коллективного рефлексивного мышления. Это то, о чем я здесь полтора года назад весьма подробно рассказывал .
И (третий пункт) все это должно быть еще особым образом собрано там, где задаются учебные ситуации и формы передачи всего этого. По сути дела, я сейчас обсуждаю вопрос, что такое реализация методологического мышления и его внедрение в различные формы. При этом я фактически должен ставить двойной вопрос об организации трансляции. С одной стороны, на каналах другой трансляции – скажем, научной, исторической, психологической, организационно управленческой и т.д. А с другой стороны, о создании специальных каналов трансляции самого методологического мышления, методологической деятельности.
И при этом еще должна создаваться своего рода педагогика методологии. То есть [должен ставиться] вопрос о том, как это должно передаваться, каковы основные формы – вплоть до организации типов учебных занятий, воспитательных ситуаций и т.д. Все это должно быть соответствующим образом расписано… И, как видите, вопрос о роли теории занимает очень частное место. Это если мы на все смотрим с точки зрения задач развития, трансляции и воспроизводства методологического мышления и методологической работы. Но при этом возникает очень интересный вопрос: в каких же, собственно, единицах все это тогда должно существовать? И мы получаем очень важный момент, который предполагает два пункта…
Первый пункт: методология против теории… Ведь методология есть не что иное, как особая форма организации мышления. И когда мы их – теорию и методологию – рассматриваем таким образом – как разные формы организации мышления, то мы и говорим: зачем нам теория, если нам нужна методология? Если мы должны методологически организовать и методологически воспроизводить мышление, то никакой теории мышления нам не нужно. И второй пункт: теория, или теоретические формы организации, – это только вид или компонент методологической организации, с какими то своими, особыми, специфическими задачами. И тогда надо специально спрашивать: зачем нужна теория и теоретическая форма организации мышления в обеспечении всех этих процессов воспроизводства? И какие есть еще формы в процессах трансляции и воспроизводства деятельности и мышления?
Я повторю еще раз схему своего рассуждения. Итак, есть синтагматическая организация методологического мышления, заданная через схему пространства методологической рефлексии, методологического мышления (см. рис. 4). И предполагается, что мы дальше ведем эту креативную, творческую работу и все время, самоорганизуясь, производим по каждому поводу все новые и новые формы методологической организации мышления. Теперь необходимо обеспечить воспроизводство этой креативной работы, передачу этого следующим поколениям и повторение на новом материале с непрерывным разворачиванием самой формы организации.
Мы задаемся вопросом: каковы же известные нам из теории деятельности и педагогики формы обеспечения воспроизводства деятельности и культурной фиксации деятельности и мышления в процессах трансляции? И говорим: образцы – первая форма, соответствующая идеология, средства, методы, логики, понятия… Но это все подробно разобрано в «Педагогике и логике»(23). Потом они разворачиваются в учебные предметы, и затем – история, научные теории и т.д. Все это я зафиксировал как формы. Как формы фиксации живой методологической работы, взятые в контексте воспроизводства и трансляции, они играют вторичную роль, занимают очень узкое место.
 
Поэтому решать то надо практически весь комплекс этих проблем и разрабатывать теорию мышления лишь в той мере, в какой она оказывается необходимой и обязательной формой в процессе воспроизводства деятельности и мышления, в процессе трансляции.
Но для этого надо прежде всего ответить на вопрос: а какую же роль теории играют в процессе воспроизводства деятельности и мышления? Что это такое? И эта критика теорий с точки зрения их роли в процессах воспроизводства деятельности и мышления оказывается здесь ключевой. Если мы решим, что нам вполне достаточно других средств и нам не нужны никакие теории, то мы и не будем разворачивать никакую теорию. Но поскольку она фигурирует как одна из форм, понадобившихся, наверное, именно для воспроизводства деятельности, то есть на стыке синтагматики и парадигматики, то надо ее специально исследовать и ответить на вопрос: какую роль играют теории в процессах воспроизводства деятельности и мышления?
Вопрос (неразборчиво).
Пока только одним способом соотносится. Есть синтагматический, креативный [способ работы], где развертываются мышление и деятельность, создаются как бы образцы. А теперь все то, что создается и развертывается здесь, должно быть каким то образом зафиксировано в соответствующих культурных образцах и нормах. Как организация пространства трансляции соотносится с организацией пространства креативной деятельности или мышления? Они каким то образом связаны – в том плане, что все эти элементы креативного пространства каким то образом переводятся… И фактически вы здесь ставите основной вопрос: как же это пространство методологической рефлексии, методологического мышления оформляется в элементы транслятивного пространства, или пространства трансляции, – по частям или в целом? Ведь там же гетерогенные образования, и только в целом оно нам и задает методологическое. Хотя оно охватило и ассимилировало массу образований. И поэтому возникает очень интересная и очень сложная проблема: как же это все переводить?
Вроде бы из исследования, изучения предшествующих, уже сложившихся форм трансляции культуры мы знаем, что есть такие формы. И я задаю вопрос: в какой мере эти традиционные формы годятся для передачи и воспроизводства методологического мышления, методологической деятельности? Ведь вы помните, что тема моего доклада – «Проблемы построения теории мышления». И я сейчас фактически в соответствии с идеологемой первого пункта моего доклада (не с продуктивной точки зрения, а с точки зрения самоорганизации) проблемы теории мышления тоже должен рассматривать с точки зрения самоорганизации – не как некий продукт, нами выдаваемый, а как нечто в контексте этой самой самоорганизации.
И я пытаюсь так перевернуть всю проблему. И то, что я сейчас говорю про теорию, и есть результат этого переворачивания – в план самоорганизации.
Теория? Отлично. Только давайте сначала ответим на вопрос «что есть теория?» в процессе воспроизводства некоторой деятельности. Но опять таки не «некоторой деятельности», а методологического мышления и деятельности. И это одна из важнейших проблем построения теории мышления. Котельников: А почему вы вообще на теорию ориентируетесь? Может быть, теория как культурно историческая форма трансляции находится в другом векторе?
Теория? Отлично. Только давайте сначала ответим на вопрос «что есть теория?» в процессе воспроизводства некоторой деятельности. Но опять таки не «некоторой деятельности», а методологического мышления и деятельности. И это одна из важнейших проблем построения теории мышления.
Котельников: А почему вы вообще на теорию ориентируетесь? Может быть, теория как культурно историческая форма трансляции находится в другом векторе?
Правильно. Но ведь я то не знаю, где она находится. Потому что все старые культурные смыслы для меня уже давно потеряли свое значение. Я вроде бы их и так пытаюсь ухватить, и так… Одного спрашиваю, другого… Скажем, прихожу к историку и говорю: скажите, что вы называете теорией? Он так таращит на меня глаза и начинает нести какую то ахинею. Через десять минут выясняется, что он вообще ничего в этом не понимает. Нет у него давно такого понятия. Прихожу к теоретику. Спрашиваю: а вы что называете теорией? Он мне начинает отвечать… Никто не может ответить на этот вопрос. И науковеды в том числе. Я прихожу к Садовскому, который писал работы по поводу организации теории 20 лет, все на свете прочел, что было по этому поводу написано. Спрашиваю: ну, и что такое теория? Он говорит: не знаю. Теперь, говорит, уже наверняка не знаю.
Изменилась деятельность, а скорлупки остались прежние и слова прежние. И крутятся эти слова без всякого смысла. Мы чего то говорим, произносим слова, думаем даже, что при этом мыслим. Ерунда все это. Поток сознания все это. Поскольку давно уже наше сознание потеряло деятельностно значимую организацию. Мы говорим со смыслом про то, чего уже давно нет. А про то, что есть, мы со смыслом не можем говорить, потому что наши понятия неадекватны. Все летит… И нужна новая точка опоры – новая организация, соответствующая современной деятельности, современному мышлению, всем тем процессам, которые сегодня идут. Старые понятия не годятся. И поэтому что я делаю? Я начинаю опираться на те схемы, которые я (это, конечно, достаточно субъективно) могу считать оправданными, эвристичными и т.д. Что я должен сделать, чтобы на каком то шаге сначала проблематизировать термин «теория», а потом его определить?
Я должен постараться рассмотреть эти научно теоретические формы прежде всего в контексте воспроизводства как особую форму фиксации мышления и деятельности в целях трансляции. И тем самым я в эту «теорию» какую то жизнь вдуваю, на какое то место ее ставлю.
Тюков: Вы отождествляете воспроизводство универсума деятельности в рамках методологического мышления, деятельности и исторические формы воспроизводства и трансляции, которые приходят на смену друг другу?
Нет, конечно. Вы повторяете вопрос Сергея Ивановича [Котельникова]. А мой ответ такой… Прекрасно, я верю в то, что раньше это как то было. Но что мне толку с того, как было раньше, если я уже знаю, что так, как было раньше, больше не может быть. Не срабатывает. И мне нужно ответить на вопрос не как было раньше, а как должно быть – как должно быть при решении тех целей и задач, которые я поставил, а именно: мне то нужно обеспечивать воспроизводство непрерывно разворачивающихся образцов методологического мышления и деятельности. Спрашивается: какую же роль научно теоретические формы должны сыграть в этом процессе?
Тюков: Пространство трансляции вы задаете не только как «должно быть», а как и «может быть» в универсуме деятельности и исторических формах. То есть это пространство не как «должно быть».
Неправильно. Я должен ответить на вопрос, как должно быть. Сработать проект. Но при этом я должен работать методологически правильно. А что значит «методологически правильно»? А это значит, что я не имею права ничего потерять из того, что уже было. И я поэтому исследую и рисую, как «бывало». Вот есть набор культурно отработанных форм. А теперь давайте проблематизируем. А где мы можем проблематизировать? Только в ряду этих форм. Вы можете увеличить этот ряд, а уменьшить – нет.
Тюков: Вы можете сказать, что определенные формы трансляции исторически устарели.
Что такое «устарели»? Должно быть так, чтобы [сохранялось] предельное многообразие развитых человечеством форм.
Тюков: То есть вы проводите еще историческую и критическую работу?
Пока нет.
Тюков: А если нет, то вы не можете так отвечать Сергею Ивановичу [Котельникову] на его вопрос.
Могу. Поскольку у меня там (см. рис. 4), обратите внимание, хитрая штука нарисована. Я ведь как могу ему отвечать? Сергей Иванович, у меня ведь мое пространство методологической работы очень сложным образом фокусируется: исследование и критика – вокруг проектирования; проектирование и конструирование – вокруг критики; критика, конструирование и проектирование – вокруг исследования.
 
Вы мне задаете вопрос по технике: а как же я потом обеспечу наложение на всю эту работу принципов организации методологического пространства?
Котельников: Нет, не так. Разрешите мне это сформулировать в виде парадокса: как вы различаете, что вы будете исследовать и что не будете, что будете с самого начала игнорировать?
Вы меня это и спрашиваете. Я на это и отвечаю, и отвечаю пока что так: у меня есть также приемы, и я уже работаю с их использованием. Про них я расскажу чуть дальше. Но они у меня есть. Поэтому у меня проектирование, исследование, онтологическая работа – все друг на друга замкнуты и завязаны, и я их все время взаимно корректирую. А поэтому я все время говорю: так должно быть. И в скобках добавляю: исторический опыт, историческая критика этому соответствуют. Вы говорите: выложите ваши процедуры. Я говорю: еще не время. Но при этом, обратите внимание, когда я произвожу фокусировку, я говорю: так должно быть. Вы меня спрашиваете: ну да, а как было? Я говорю: вот здесь представлено то, что было. Потому что моя онтологическая работа есть результат «снятия» и критики, и исследования. Вы меня спрашиваете: где? Я отвечаю: вот тогда то, те то работы – критика тогда то, те то работы – исследование, сейчас вот здесь я проектирую.
Котельников: Вы когда говорите про синтагматику, вы имеете в виду сразу и мышление, и мыслительную деятельность, и деятельность?
Да.
А для пространства трансляции?
Тоже.
Котельников: И никакой разницы между ними сейчас в этой онтологии нет?
Здесь нет. Но будут разные каналы, разные средства и т.д. Каждый раз соответственно данному типу мышления будет меняться набор этих каналов и его оформление. Это все равно как наша с вами проблема: организация практической подготовки студентов и теоретической подготовки. В чем разница между ними, если в результате каждой должны быть знание, умения, навыки, способности и понятия?
Ильясов: Разные по содержанию.
Неизвестно, разные ли. Но получаются совершенно по разному. Ибо разные каналы трансляции. Но вы правы, Ислам Имранович. Они будут действительно разные. Потому что только на практике мы можем дать понятия, обеспечивающие применение знаний в практической деятельности. А при теоретической подготовке студентов этого никогда не дашь. Итак, к чему же я пришел здесь? Что у меня получилось? У меня сопряжены два пространства: синтагматика и парадигматика. И теперь практически я же должен все термины и понятия, которыми я буду пользоваться, – теория, знание, понятие и т.д. – каждый раз брать относительно одного пространства и другого.
И они у нас всегда будут иметь минимум двойное существование и могут все определяться только по соотношению того и другого.
И второе замечание. Все эти формы проходят такой сложный путь: сначала здесь – креативный, дальше – фиксированный в некоторой культурной форме и передаваемой в коммуникации, третий – фиксированный в виде некоторого учебного содержания, передаваемого в качестве именно средства обучения. И у меня получается минимум три ситуации. Например, знание и теория. Приходит знание или теория, и это то, что должно быть усвоено. Это – первая ситуация. Вторая ситуация: имеется знание и теория, и это то, что должно быть передано в коммуникации. И есть, наконец, знание и теория, и это то, чем я пользуюсь в своей креативной работе, – беру знание и здесь, в синтагматике, творю что то.
И теперь представьте себе, что же здесь разворачивается… Когда я сейчас выступаю, делаю доклад, то что я делаю? Демонстрирую креативную форму работы, используя те или иные знания, теоретические представления и т. д., или я выражаю их в процессе коммуникации и общения с вами, или я задаю их как некое учебное содержание и хочу, чтобы вы это усвоили? Я делаю одно, другое и третье одновременно, хотя по идее то, наверное, должен был бы делать либо одно, либо другое, либо третье. Хотя неясно, можно ли эти вещи для методологии развести и различать. Значит, я сразу соединил три аспекта. Это очень сложный вопрос. И из него следует только один вывод: каждый, кто хочет понять это, должен каждый раз для себя очень четко фиксировать, как он понимает все это, как он относится ко всему этому, в какую позицию он становится – скажем, критикующего коммуниканта, понимающего или перенимающего образец деятельности или усваивающего систему средств. А иногда и это – как правило – надо осуществлять все три процедуры, но их нужно расчленить. Поэтому в дидактических целях мы их очень часто разделяем. Есть школа, университет, научный семинар… Но здесь, в методологическом общении, в нашем мышлении нам все эти моменты приходится всегда объединять.
* * *
Здесь я закончил очень большой смысловой кусок и теперь меняю принципиально тип работы. Она будет дальше совершенно иной. Итак, я теперь должен каким то образом работать здесь. Причем я вроде бы все время работаю. Для чего мне нужно было различить три этих случая отношения, понимания, восприятия, которые я должен учитывать и которым должен соответствовать? Если я просто работаю и осуществляю какую то креативную деятельность, то я нахожусь вот здесь – справа (см. рис. 4) и должен жить по логике этого образования, развертывать это пространство дальше. Но ведь непонятно, что я делаю. Я вроде бы работаю. Но поскольку мы уже условились, что параллельно я должен обеспечивать коммуникацию, а эта коммуникация всегда одновременно содержит и момент трансляции…
Потому что такой трансляции не будет только в том случае, когда мы все будем совершенно на одном уровне в плане понятийного обеспечения, его средств и т.д. Если предположить такой случай, то вообще креативной деятельности не будет. Я должен действительно развертывать что то новое, и только тогда я осуществляю методологическое мышление.
Но что значит «новое»? Новое – это то, чего у вас нет. Я образую какие то понятия, которых у вас нет. И поскольку я ими пользуюсь, то я уже оторвался. И для того, чтобы обеспечить понимание и коммуникацию, я должен еще осуществлять дополнительные рефлексивные выходы и организовывать свой текст так, чтобы он был не только (1) текстом креативной работы, но и (2) текстом коммуникативной передачи и (3) текстом трансляции и обучения. А тогда это значит, что я нахожусь здесь – в этом третьем пространстве коммуникации, которое мы до сих пор не обеспечивали, и в этом пространстве трансляции. И я должен буду то, что я делаю, проецировать и на первое синтагматическое, и на второе – специально коммуникативное, и на третье – специально транслятивное пространство. И, значит, мои единицы должны быть либо утроенными, то есть я должен буду одно и то же проговаривать трижды, либо же я должен буду творить такие единицы в коммуникации, которые являются организованностно полными относительно всех трех процессов.
А что это означает относительно любых и всяких понятий, которыми я пользуюсь? Они все должны проецироваться на эти три пространства и быть значимыми и определенными в них во всех или в каком то одном. Потому что я, например, могу сделать одно из этих пространств – креативное – основанием для фиксации всего остального. И наши обычные расхождения, скажем, когда мы спорим с Константином Львовичем [Черновым], связаны с несоблюдением этого правила. Почему? Вот я, скажем, работаю здесь – в этом пространстве, и я теперь относительно него должен определять все понятия: понятия знания, теории… Все они относительно самоорганизации моей методологической работы больше уже не работают. Они стали неэффективными, я их должен проблематизировать и строить заново. Но Константин Львович как слушающий меня имеет каждый раз свою систему – терминологически, понятийно и т.д. – и отказывается принять мою. И не только отказывается. Я не могу даже сделать так, чтобы заставить его принять… И в результате мы не можем понимать друг друга.
Поэтому я всегда должен одновременно решать этот вопрос: я должен задавать их как единицы для освоения, то есть по законам соответствующей трансляции и обучения. И если я этого не буду делать, то они просто не принимаются. Вот для чего я рассказывал этот кусок.
 
А теперь я начинаю с этой точки зрения систематическую работу по проблематизации и наметкам к программированию перестройки понятий, которыми мы будем пользоваться. Когда я их начинаю проблематизировать, я, скажем, себе их перечисляю. Я, например, должен буду начать с понятия теории. Затем я должен буду перейти к понятию рефлексии. Поэтому я должен буду рассматривать понятие рассуждения и в связи с ним проблематизировать и рассмотреть понятия процесса, цели, нормы, продукта, организованности, результата, объекта, операции, процедуры. Потом я должен буду вернуться к понятию теории и рассмотреть это все заново, но с точки зрения понятия рассуждения. И я к этому понятию теории буду потом возвращаться круговым, «челночным» движением снова и снова. Потом я должен рассмотреть «понятие» [как таковое], снова вернуться к рефлексии, рассуждению и теории, потом я должен рассмотреть предмет, снова вернуться к теории, потом я должен рассмотреть тип мышления, или мыслительной работы, тип деятельности, знания, потом – что такое исследование, конструирование, проектирование, критика, онтологическая работа. Вот это тот минимальный перечень, который нужно рассмотреть для того, чтобы теперь стало понятно в этих трех названных выше планах мое движение, моя креативная работа.
Вы думаете, что инновация возможна только таким способом? Таким многозаходным переформулированием?
Да. Инновация такого рода как методологическая организация мышления возможна только таким способом. Нет другого пути. Если вы возьмете эту шарденовскую схему, то посмотрите, что там происходит: теперь все, что было накоплено этой культурой, должно быть стянуто в одну точку.
Здесь есть одно возражение, связанное с тем, что за всем этим стоят очень определенные модели развития.
Да. Я просматривал разные и не вижу более интересных.
Итак, мы зафиксировали эту организацию пространства. Мы вынуждены теперь начинать все с самого начала, причем делать двойную работу, а именно: мы теперь должны относительно этой организации пространства проблематизировать, критиковать, схематизировать, конфигурировать, по новому конструировать все без исключения понятия, которыми мы будем пользоваться.
Чернов: Вы хотите дать определения?
Нет. Я сделаю так: я разделю всех присутствующих на пять групп – отличники, четверочники, троечники, двоечники и колуны. Для двух последних групп будут выданы определения. Они будут их учить и сдавать, если им нужна справка об окончании… Определения нужны ведь только для того, чтобы экзамены и зачеты сдавать.
Чернов: А каким способом вы будете передавать нам?..
За счет погружения вас в эту систему работы.
Сложилось убеждение, что смысл дела в передаче знаний, и человек, который знает одно, другое, третье… может называться человеком. При этом знания оторвались от деятельности: они давно не обеспечивают включение в деятельность. Создаются определения, они заучиваются, произносятся и т.д. Вот эта вербальная псевдодеятельность – передача знаний, ответы на экзаменах и прочее – заменила подлинную человеческую жизнь. Поэтому студенты не учатся, преподаватели не обучают. Нет контроля. Это все есть результат этой идеологии: представления о точном определении, необходимости его отрабатывать, выделять дифференциальные признаки, подводить под вид и род… Это все – псевдокультура. Она не имеет ровно никакого значения.
Для того чтобы у вас были понятия, надо быть включенным в деятельность, причастным к этой деятельности, и нет никакого другого пути научиться чему то. И не нужно вообще ничему учиться, если вы непричастны… А если вы действительно входите в деятельность, то там действительно все идет по другим законам. Я же должен предавать вам деятельность. То есть я должен включиться с вами в одну деятельность. Вас включить в эту деятельность. И осуществляю я эту деятельность для включения других. И в этом смысл коммуникации – в том, чтобы включиться в деятельность.
Итак, в конце позапрошлого заседания я уже начал эту проблематизацию, и тогда я, нарисовав соответствующие схемы, показал, что слово «теория» употребляется в следующих принципиально разных смыслах:
1. В оппозиции теория-практика. Тут тоже два варианта. Первый: когда происходит построение какой то деятельности, и при этом имеется практическая рефлексия как форма фиксации опыта, и нечто приходит со стороны, что было получено вне этой деятельности. Второй вариант: когда мы ориентируемся на методы получения и говорим: это есть теория, поскольку оно получено путем чистого мыслительного конструирования, или дедукции, или, как обычно говорят, оно дедуктивно, а вот это – практическое… Но теперь его заменяют словом «эмпирическое», поскольку оно получено опытным путем.
2. Фактически в смысле оппозиции априорное-апостериорное по процессам получения.
3. Теория как синоним системы знаний, то есть как продукт определенной систематизации.
4. Теория как выражение любых оснований, которые употребляются в производстве тех или иных суждений.
5. Теория как синоним научной теории, или результат научного исследования.
6. Теория как синоним научно исследовательского предмета. Здесь уже, например, это употребление входит в прямую оппозицию с представлением о теории как системе знаний. Потому что научный предмет, кроме знаний, имеет факты, проблемы, модели, онтологические картины и т.д.
7. Теория как результат и продукт функционирования подобного научного предмета.
И дальше я мог бы эту линию продолжить. Понятно, что каждое из этих употреблений исключает другие. Но мне нужен другой, более интересный для меня аспект вот какого рода… Ведь я должен с точки зрения этой схемы организации методологического пространства рассуждать всегда иначе. Поэтому всю эту предыдущую часть я бы отнес к имманентной критике, то есть внутренней, а не внешней. А с точки зрения моих представлений я ведь должен задавать вопрос таким образом… Представим себе, что есть такое образование как теория. Тогда эта самая теория должна быть результатом целого ряда специальных процедур исследования, в какой то мере – конструирования, в какой то мере – онтологической работы, и они как то собираются и соорганизуются в этой теории. В этом смысле каждое такое образование есть организованность той совокупности деятельностей, которые ее, по сути дела, порождают или в которой она затем употребляется. И такого рода схемы я рисовал в конце позапрошлого заседания, показывая, что развертывается на одном полюсе и что на другом. И я дальше буду этим все время пользоваться, в том числе обсуждая и понятие знания, и понятие как таковое. Но меня сейчас здесь интересует другой момент: я должен особым образом соотнести разные процедуры… И, в частности, возникает очень интересная сложность с понятием исследования.
Итак, схема моего движения такая… Я начал проблематизировать понятие теории, говорю, что его надо определять заново, иначе я не смогу решать свою задачку. Но для того, чтобы я мог определить его соответственно программе моей работы и правилам методологической работы, я должен представить теорию как определенную организованность. В том пространстве – как организованность моей креативной работы, а в пространстве трансляции или коммуникации, соответственно, как организованности этих процессов. Но тогда я должен апеллировать к этой совокупности деятельностей: я ведь это задаю как определенный прием, как методологему, которые обеспечивают возникновение теории…
И тут возникает трудность с понятием исследования. Какая? Та самая, которую зафиксировал сегодня Сергей Иванович [Котельников]. Почему? Вроде бы я сказал, что все, что я буду делать, должно находиться в этом пространстве и вся методологическая работа будет осуществляться здесь – внутри.
 
Но это противоречит понятию исследования. Исследование так задано и так определено, что оно построено на понятии внешнего – не внутреннего, а внешнего, вырывающегося за пределы деятельности. Понятие исследования предполагает заданность объекта, который якобы противостоит деятельности исследования и существует сам по себе.
Но сюда добавляется и та вещь, на которую обратил внимание Анатолий Александрович [Тюков]. «Ну и что? – спрашивает Анатолий Александрович, – вас вообще никогда не будет интересовать, как было раньше. Вот вы замкнулись в себе и только так и работаете. Вы проектируете новые формы и вообще знать не хотите о том, что было до вас, что было в научных формах и т.д. А если вы мне скажете "нет" и скажете, что вас это интересует и это входит в вашу методологическую работу, – а вроде бы это входит, поскольку там есть исследование, – тогда вы это должны исследовать. Но ведь очевидно, что все эти формы мышления – не методологические, до методологические и т.д., – они все существовали раньше и безотносительно к развитию вашей формы методологического мышления».
И это очень важная и серьезная проблема, решение которой переворачивает буквально все представления. И она сама – для того, чтобы быть разрешенной – требует совершенно новых представлений о деятельности, мышлении и т.д. Это вообще кардинальная точка. Я бы назвал это основным парадоксом рефлексии. И я утверждаю, что из этого основного парадокса рефлексии вытекает по крайней мере полтора десятка основных философских, методологических парадоксов, которые обсуждались на протяжении двух с половиной тысяч лет. Это: парадокс непрерывности и дискретности, мышления и деятельности, деятельности и ее объекта, объекта и онтологии, формы и материала, формы и содержания…
Все это есть, на мой взгляд, лишь вторичные или факультативные варианты этого основного парадокса рефлексии, а именно парадокса внутреннего внешнего, заданного существованием такой странной и смешной деятельности, как исследование. Я бы сказал так: само по себе исследование есть одна из величайших тайн и вместе с тем одна из основных иллюзий. Потому что, может быть, исследования то и нет? А если оно есть, то что это такое? Но почему я его назвал «основным парадоксом рефлексии»? Потому что, как я утверждаю (и я говорил об этом раньше, когда обосновывал понятие пространства), вся суть здесь – в дискретности структур деятельности, возникающих за счет механизма рефлексии, или рефлексивного выхода. Дело в том, что всякий акт деятельности всегда конечен: он имеет всегда начало и конец, он имеет определенный локус в пространстве. Но за счет работы механизмов сознания мы можем осуществить следующий акт деятельности, следующий по отношению к прошлому акту деятельности.
В механизмах работы человеческого сознания заложено (и это затем проявляется как особенность человеческой деятельности) то, что на этот акт деятельности и его организованности(24) может быть направлен новый, следующий акт деятельности, который за счет своих особых специфических механизмов как бы вторично воспроизводит этот прошедший акт деятельности. И за счет этого этот предыдущий акт деятельности получает двойное существование… Мы, таким образом, получаем ряд проблем, которые, как мне кажется, могут быть развернуты и разъяснены за счет параллельного разъяснения нескольких основных понятий, а именно понятий: 1) рефлексии, 2) объекта, 3) исследования, 4) знания…(25)
Рефлексия есть особая связь между двумя актами деятельности, которая нейтральна по отношению к различиям внешнего и внутреннего. Она допускает и ту и другую трактовку. Вот это есть реальная модель, когда разница между внешним и внутренним исчезает: мы с равным правом можем говорить, что этот первый акт деятельности находится внутри второго, и мы можем говорить, что он находится вне. Вот что очень важно. В записке меня спрашивают: можно ли само время рассматривать как тавтологическое утверждение о существовании генетического самовключения указанных вами актов деятельности? Да, совершенно точно: время есть не что иное, как это. Что такое время? Время есть определенная связь актов деятельности. Вот это отношение и есть время. Только потом оно за счет этих выключений как бы отрывается из этой связки, которая есть исходная единичка в анализе человеческой деятельности. Нельзя начинать с актов деятельности. Можно начинать только с такой связки. Проще в деятельности ничего нет, ибо деятельность социальна с самого начала. Она не складывается из двух индивидуальных актов. Индивидуальные акты есть «выщипления» из этого океана связанных, накладывающихся друг на друга и по от ношению друг к другу образований. Вот это очень важно – это отношение.
Но ведь проблема в чем состоит? Существует ли этот первый акт деятельности как включенное или не включенное? Само по себе или как то и во втором акте? И это есть уже вопрос и о природе рефлексии, и о природе знания. Ведь когда мы рисуем знание как двухплоскостную структуру(26), то возникает вопрос: а существует ли содержание вне и помимо формы? Или оно существует постольку, поскольку есть форма и поскольку содержание в этой форме выражено? И теперь я должен ответить по новому на этот вопрос: и да, и нет.
И последний шаг. Я с этого буду начинать в следующий раз. Такой интересный вопрос: а что будет генетически первичным и с чего мы должны начинать?
С такой связки деятельности или, наоборот, с такого образования, где есть символический человечек, где внутри, из «плазмы» всего этого, начинает формироваться какое то уплотнение, которое потом сдвигается сюда – к краю, а потом еще дальше выпихивается в отдельные существования. И с чего мы, собственно, должны начинать рассуждение? Вот выпихивается это или, наоборот, втягивается? Теперь давайте «кино крутить» вперед и назад. И если вы будете «кино крутить» назад – вы получите исследование. А если вперед, то креативный процесс порождения: проектирование или еще что то такое. Но интересно задать вопрос: в истории что было вначале – креативные процессы порождения или исследование? С чего начинал человек: с того, что он творил, или с того, что исследовал? Но ведь достаточно поставить этот вопрос, чтобы было все ясно. И Маркс ответил на этот вопрос очень точно: человек творил, а исследование есть фактически только обратная процедура, то есть имитация того, что мы можем «крутить кино» назад. Поэтому я снова возвращаюсь к вопросу: а есть ли исследование? Да, оно есть, поскольку мы уже настолько развились, что мы можем «крутить» и туда, и сюда. Но тогда это есть одновременно и ответ на вопрос: что же такое исследование?
 
5. [Построение понятий и вопросы онтологии]  
Итак, в прошлый раз, ориентируясь на ту схему организации пространства рефлексии и мышления методологии (см. рис. 4), я начал проблематизировать основные понятия, которыми нам приходится пользоваться. И это определенная фаза и этап моей работы. Действительно, все то, что находится в нашем распоряжении, все, что нам дано, представлено на этой схеме, или в рамках этой схемы организации пространства рефлексии. И ничего, кроме того, что здесь представлено, просто нет. Хотя тут же и возникает та самая проблема внешнего и внутреннего, которую я начал обсуждать в конце прошлого заседания. Я подчеркивал, что, с моей точки зрения, это есть основная проблема и основной парадокс рефлексии, из которого затем вырастает целый ряд других – вторичных проблем, в частности парадоксы формы и материала, формы и содержания и другие. И я снова обращаюсь к этой схеме, чтобы дать общее представление о том, что я сейчас обсуждаю.
Действительно, складывается какая то очень странная ситуация… Когда мы осуществляем мышление, то мы действительно можем оперировать только тем, что нам дано. В рефлексии это непосредственно очевидно, ибо рефлексия – по определению – есть направленность на то, что мы сделали, на нас самих. Хотя я буду дальше обсуждать разные детали…
В мышлении этого признака нет, но мышление есть всегда выражение всего, о чем мы говорим и мыслим, в некоторых формах. И эти формы должны быть нам даны. И для отдельного работающего индивида они действительно всегда заданы и образуют исходные начала его работы. Я сейчас отвлекаюсь от обсуждения вопроса, как они получились: выработались ли они им самим, или они получились в ходе исторической эволюции идей, как об этом писал Фихте. Но важно, что должны быть эти формы, и все, что нам дано в мышлении, дается через эти формы и предполагает определенные наличные формы, их заданность.
Нельзя представлять себе дело так, что перед нами есть какой то объект и мы начинаем как то им манипулировать: поворачиваем, переворачиваем, приводим во взаимодействие с другими объектами и т.д. и таким образом что то о нем узнаем. Это определенно наивная точка зрения, и обсуждать ее всерьез нельзя. И поэтому вся картина выглядит так… Вроде бы мы должны были в мышлении прорываться за пределы данного нам и захватить что то такое, что нам до этого не было дано, ассимилировать какой то материал и втягивать его внутрь… И так оно вроде бы действительно и происходит: мы постоянно что то втягиваем. Но для того, чтобы это «что то» втянуть, надо предварительно создать подходящие, или соответствующие, формы. И пока мы этой формы внутри нашего мышления не создали, мы ничего и втянуть не можем.


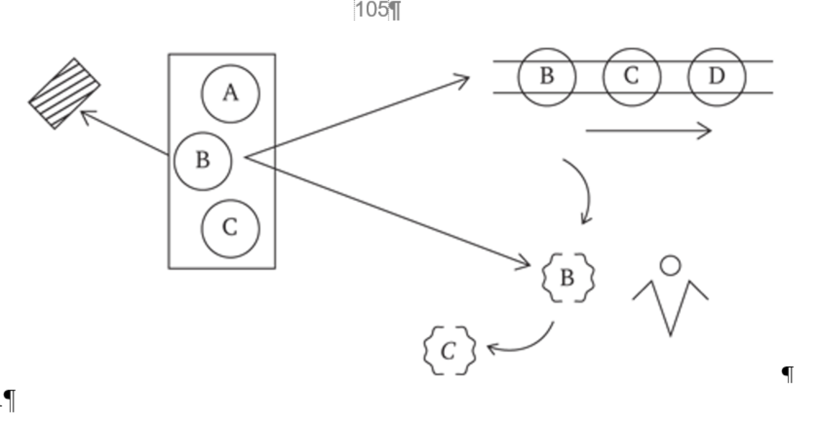
Поэтому, с одной стороны, мы вроде бы прорываемся за пределы данных нам форм, но это происходит отнюдь не за счет того, что мы берем нечто извне, как бы пропускаем через это пространство и вне его поверхности руку, схватываем какой то материал, лежащий вне нашего мышления, захватываем его и притягиваем туда – в это пространство. Нет. Это вовлечение нового материала происходит за счет того, что мы путем некоторой конструктивной работы, путем развития этих форм создаем внутри этого пространства новые формы и таким образом – в имитации – втягиваем нечто внеположенное в это пространство (см. Рис. 7).
  Рис.7    
 
PRISS-laboratory/ Виталий СААКОВ/ библиотека// Щедровицкий Г.П. На перекрестке мысли: введение в системомыследеятельностный подход/// Пространство методологической работы и деятельностный подход/ Если бы я попробовал нарисовать основной схематизм натуралистического подхода на своем деятельностном языке, то я бы должен был нарисовать вот такое представление об объекте, а дальше какие то системы деятельности, которые берут его с разных сторон (см. рис. 1)
© Г.П.Щедровицкий, 1979
 
 
И если только мы начинаем исходить из этой модели, так все это дело себе представляем, то вопрос о том, откуда мы идем – извне внутрь или изнутри вовне, – теряет всякий смысл. Больше того, оказывается, что само это различие есть результат некоторой дополнительной рефлексии и осознания и особой концепционной формализации: то есть мы можем принять концепцию, что мы тянем извне внутрь – в пространство мышления, можем считать, что мы идем от мышления наружу. Поскольку речь идет не о практической деятельности, а о мышлении, разницы между этими двумя способами трактовки и объяснения практически нет никакой. Она незначима. Ибо для того, чтобы мы нечто втянули в мир пространства мышления, мы должны за счет конструктивного движения, за счет какого то разворачивания, трансформации, развития, эволюции создать новую форму из уже имеющихся у нас форм. И этот процесс создания новых форм мы можем интерпретировать и представить как ухватывание… Хотя мы опять таки никак не можем ответить на вопрос: а что же здесь произошло – имманентное разворачивание форм мышления или захват якобы нового материала извне?
Но нет и не может быть этой оппозиции по природе самого мышления. А возникают эти трактовки, и сам этот вопрос, и эти иллюзорные представления, что мы куда то протягиваем руку и что то вовне хватаем, потому что мышление не отделено от деятельности. И мышление все время начинает трактоваться либо вместе с деятельностью, которая совершает такой реальный захват, либо по образу и подобию деятельности, когда на мышление, суть которого состоит в имитации, замещении, переносятся образы и представления о деятельности, которая есть захват, ассимиляция чего то. Но при этом совершенно исчезает понимание, знание, видение того, что мышление, даже когда оно осуществляется как мыслительная деятельность (что нужно обсуждать особо), всегда неразрывно – и генетически, и по функционированию – связано с деятельностью. И в силу этого мышление имеет не одну связь с объективным миром – связь интерпретации, интенции, замещения, которые специфичны для мышления, а несколько – в том числе по использованию продуктов мыслительной работы в деятельности. Кстати, эта часть была очень точно подчеркнута Выготским… Если мы забываем этот контекст [отнесенности] знаков и мыслей к человеку и его сознанию, то мы, естественно, получаем ложную и слишком упрощенную модель и вынуждены переносить на мышление характеристики и образы самой деятельности.
Значит, первое, что мне здесь важно подчеркнуть, – это то, что мышление, которое развертывается в определенных знаковых формах, относимых на объективное содержание, трактуемых таким образом, имеет, кроме того, еще одну связь с бытием, миром действительности, а именно: через свое отношение к сознанию индивида и практического действования индивида в отношении этого мира. И это обстоятельство, эта сторона, идущая от мышления в практику, собственно, и обеспечивает действенность мышления, его объективность и т.д. А вот когда мы берем мышление либо эпистемологически – как знаковые формы, отнесенные к объективному содержанию, либо психологистически – как эти же знаковые формы, отнесенные к содержанию и связанные с сознанием человека, мы каждый раз получаем заведомо неправильную картину и поэтому вообще не можем решать адекватно проблему внешнего и внутреннего. Ибо проблема внешнего и внутреннего для мышления, как мне представляется, значима лишь для этой связи между мышлением и практической деятельностью.
А в мышлении все зависит от того, с чем мы работаем и как мы осознаем [используемые нами] знаки. Помните этот образ, который я приводил: предел, или граница с «воротами» или «калиткой», которые открываются? Я специально подчеркивал, что объект – это и есть фактически та граница, которую мы задаем в рефлексии и через рефлексию как акторную границу, как то, что разрывает потоки непрерывности нашего сознания, рефлексии и мыслительных процессов. Если мы ее задаем – либо по отношению к знаковым формам, либо по отношению к вещам, включенным в мышление, либо мы их интерпретируем как объект, то это есть предел, в который упирается наша имитирующая работа. И в той мере, в какой поставлена такая граница, мы в нее упираемся, постольку есть интендируемый, полагаемый объект, но объект уже в точном, узком смысле этого слова – объект как эпистемологический объект. А если, скажем, мы то же самое трактуем как знаковую форму, тогда оно выступает как «калитка», которую мы открываем и прорываемся дальше – до интенционального, полагаемого объекта, и опять [оно выступает] как граница. А если мы говорим, что это опять знак, мы снова прорываемся и снова строим такую границу. И мы можем двигаться сколько угодно в этом пространстве имитирующего мышления.
Отсюда – схемы многоплоскостной организации знаний(27). [Эти схемы] как раз в 50 е годы и фиксировали этот момент прерываемой и снова разворачиваемой интенциональности: объект есть идеальный объект, и он полагается в нашем мышлении, и полагается каждый раз за счет разворачивания внутренних потенций самого мышления, за счет разворачивания тех форм, которые в нем есть. А историческая объективность этих форм определяется и оценивается не в рамках самого мышления, а через практическую деятельность. И, кстати, я до сих пор не могу понять одной вещи… Все это было установлено Марксом и очень четко записано во всех его работах 1845–1859 годов, вроде бы есть во всех учебниках, и тем не менее это абсолютно не замечается, не понимается, из этого не делаются выводы ни в логике, ни в философии, ни в психологии… Игнорируя всю традицию немецкой классической философии и работы Маркса, по прежнему жуют эту домарксистскую жвачку: как мы через мышление прорываемся к объективности…
Итак, я зафиксировал эту проблему – внешнего и внутреннего. Причем я задал ее, с одной стороны, на тех схемах организации пространства, а с другой стороны – на схемах деятельности. И у меня была еще одна схема, которая мне очень важна и которую я дальше буду всячески развивать, – это схема связи рефлексии с непосредственной деятельностью. Но я к ней еще вернусь специально. Я бы только еще подчеркнул то, что отсюда, как мне кажется, вытекает, в том числе в плане работы наших подгрупп внутри нашей Комиссии. Мне кажется, что именно эта ситуация создает огромное поле для собственно психологических исследований, в частности для исследований по психологии знака: проблем, связанных с рефлексией знака и понимания, с интенциональностью, рефлексией и пониманием объекта как такового и т.д. А у нас такой психологии знаков нет. И вообще эти подлинные, самые существенные проблемы современной психологии не попадают в исследуемую область. Больше того, буквально месяц назад я слышал реплику о том, что знаки и знаковость – это дребедень для психологии, что нет таких проблем, что, наоборот, есть проблемы символа и символизма, якобы поставленные Выготским, и этим надо заниматься. Причем символ и символизм трактуются в духе Лосева, Гегеля. Мне представляется, что такая трактовка разворачивает и отбрасывает нас на 100 лет назад, устраняя реальные проблемы.
 
Здесь вообще было бы очень интересно посмотреть, в частности на детском материале, как развивается детское сознание в связи с той или иной трактовкой знаков, с появлением тех или иных типов интенциональных отношений, как это все формируется: как за счет подключения ребенка к тем или иным культурным, деятельностным, мыслительным структурам у него начинает формироваться сознание и поведение деятельность. И вот это и есть подлинные психологические проблемы.
Ильясов (неразборчиво).
Нет, я говорю жестче: если мы рассматриваем мышление как таковое – не важно, в схемах ли организации пространства рефлексии и мышления или в предметных схемах, – там категория внешнего внутреннего не работает в принципе. Мышление как таковое иррелевантно относительно категории внешнего и внутреннего. Я могу это пояснить: мышление для того и появилось, чтобы снять проблему внешнего и внутреннего. Это есть такое обеспечение поведения, которое делает человека выше различия внешнего и внутреннего. Кстати, эти вещи зафиксированы давным давно, начиная с Вед и дальше в буддизме и т.д. Что там происходит? Нет этой грани [между внутренним и внешним], ибо Бог и Природа сливаются. Это есть форма фиксации того, что действительно делает человеческое мышление: оно может захватывать внешнее для поведения и деятельности за счет имитации его в определенных формах, то есть изнутри. И в этом плане за счет особого механизма человек обеспечивает свое приспособление и свою преобразующую социальную деятельность. Я, правда, выпустил здесь одну очень существенную часть, которая еще замыкает все это, – это проблема восприятия. О ней я дальше еще буду специально говорить, когда коснусь рефлексии.
Но пока мы берем мышление как таковое, мышление в его чистоте, связанное с проблемами деятельности, то, что происходит здесь, безразлично к различию внешнего и внутреннего. Иначе говоря: нельзя подходить к анализу мышления, пользуясь этими категориями; нет в мышлении ни внешнего, ни внутреннего. И в этом вся суть дела. Тюков: Вроде бы Пиаже развивал эту идею. Я думаю, что вы модернизируете Пиаже. Во первых, потому, что у Пиаже вообще нет отработанной категории мышления, Пиаже не знает, что такое мышление. У него есть «интеллект». Вообще в этой женевско французской традиции нет понятия мышления, которое есть в русской и немецкой традициях. Второй момент: у Пиаже не может быть представления о мышлении, поскольку Пиаже до сих пор не понимает роли знака, для него вообще не существует семиотики. Он сформировался где то в 1919–1922 годах и с тех пор, по видимому, не развивается. Как ученый он родился на стыке биологии и психологии. Ему надо было интеллект трактовать биологически, с одной стороны, и логически – с другой.
Поэтому он вырос вне семиотической традиции. И он ее так и не усвоил. Он вообще роли знаков не понимает и живет в традиции символизма. Поэтому у него этого не может быть.
А вот то, о чем вы говорите [у Пиаже], с моей точки зрения, – это преодоление индивидуального эгоцентризма и субъективизма и социализация, то есть становление на социальную точку зрения. И это не имеет никакого отношения к тому, о чем я говорил. У Пиаже нет имитационных процессов. У него есть внутренние уравновешивающиеся системы. Ему нужно, чтобы его системы операций – прямых и обратных – сложились в устойчивые структуры. И когда это складывается в жесткую структуру, тогда возникает определенный уровень интеллектуальной деятельности.
Тюков: То есть, можно ли сказать, что Пиаже описывает этот план поведенческой деятельности в связи с сознанием, но не затрагивает этого отношения к знаковым формам?
Второе – точно: фактически он не затрагивает знаков, знаний, понятий, хотя он об этом пишет. А вот первая часть… Это ведь особый, очень сложный вопрос: что, собственно, исследует Жан Пиаже, что он может исследовать? Потому что Жан Пиаже не смог решить основной философской проблемы: он, с одной стороны, натуралист, а с другой – кантианец. И поэтому про Жана Пиаже надо было бы сказать так: у Жана Пиаже есть две несовместимые друг с другом части, а поэтому единственное, что Жан Пиаже исследовал, – это внутреннее противоречие своей концепции.
Теперь я бы хотел здесь еще обратить внимание на одну упущенную мною сторону в обсуждении проблемы внешнего и внутреннего. Она теснейшим образом связана с проблемой модальности мышления. Обратите внимание, что здесь происходит… Когда я говорю, что все уже дано в этом пространстве, то здесь вроде бы дано по форме актуально. [Но точно так же в мышлении это может быть] имитировано в модальности возможного. И поэтому здесь нужно добавить, кроме всего прочего, что мышление выделывает очень хитрую вещь… Мышление – это такая штука, которая дает возможность переводить фактическое в возможное, в должное, и обратно: должное в фактическое, должное в возможное, возможное в фактическое и т.д. Оно в известном смысле нейтрально и по отношению к этим модальностям существования. И поэтому сам по себе этот вопрос с категорией внешнего внутреннего, с модальностями возможного, необходимого, должного… Там много разных наборов модальностей – это само по себе проблема и требует еще специально проработки. Я здесь, скорее, проблематизирую, но одновременно высказываю свою позицию.
И теперь я делаю второй шаг, поясняя, что же, собственно, я начал делать в прошлый раз.
Итак, вроде бы задано это пространство (см. рис. 4), в нем представлено все, чем мы можем пользоваться, все, что нам дано: предметы, верстаки, понятия разного рода, онтологии, практики… Все это дано в рефлексии. И поэтому все, что мы можем делать: строить теорию мышления, разворачивая мышление, – это значит особым образом работать с тем, что нам дано. И поэтому я начинаю свою работу, естественно, с того, что имею, что захвачено этим пространством. Я теперь должен это определенным образом перестроить, реорганизовать, развернуть, решая задачи, которые перед нами стоят. И первое, что я здесь делаю, первое, к чему я обращаюсь, – это всевозможные понятия, касающиеся мышления и деятельности. И имея все эти наборы понятий, я начинаю их проблематизировать и должен перестроить так, чтобы они соответствовали организации этого пространства и процедурам методологического мышления, в частности методологического рассуждения.
И в прошлый раз я перечислил длинный ряд основных понятий, которые должны быть проблематизированы. Я мог бы продолжать это и дальше, но мне хотелось выделить самые основные понятия: понятие теории, понятие исследования, объекта, рефлексии, интенциональности, формы, содержания, материала, знания, объекта, знака, значения, смысла и много других. Естественно, что их нельзя взять как они есть, потому что они создавались при решении других задач и в других стилях и способах мышления. Каждый раз, когда мы осуществляем переход к новым формам мышления, мы должны перестраивать все понятия, которыми будем пользоваться. И в этом и состоит развитие мышления. Но мне то сейчас важно четко очертить тот план, в котором я работаю. Я обращаюсь к тому, что было, и, одновременно программируя то, что будет дальше, и объясняя, что я делаю, говорю: я беру разнообразные понятия и должен их теперь перестроить соответственно задачам и потребностям моей мыслительной работы. А где у меня здесь представлены понятия? Что это вообще такое?
Писарский: Зачем их брать?
А чем же мне пользоваться? Чем работать? Вот я имею здесь все: у меня есть здесь верстаки и т.д. – это все то, что мы получили от прошлых структур мыслительной работы, развития предметов и т.д. И первое, что я делаю, – начинаю обсуждать понятия. Вы мне можете задать вопрос: почему понятия? Я пока что отвечу очень грубо: потому что это и есть основные средства мыслительной работы, основные средства построения рассуждения. Я дальше все это переверну и проблематизирую и буду обсуждать понятие о понятии. Но пока что я должен двигаться в методологической рефлексии, и я должен эти понятия [перечислить соответственно этому пространству].
 
И вот они у меня здесь зафиксированы в виде точек – точек как узлов прошлых рассуждений, и они же должны выступать как узлы моих новых рассуждений – как средства. Этих понятий очень много, и все они связаны друг с другом: я говорю здесь, например, об исследовании, конструировании, о проектировании, еще о чем то… А что это такое? Ведь у меня это каждый раз понятия, фиксирующие, скажем, либо изолированное конструирование, либо конструирование в другой сфере. Или исследование – так это исследование другое – не методологическое, которое включено в эту организацию…
Итак, я беру эти наборы понятий. Мы же должны строить теорию мышления. А для этого, соответственно, должны иметь новый образец, модель и пользоваться соответствующим понятием. Но оказывается, что это понятие [теории] не работает. И я в прошлый раз показывал, в каких многих смыслах оно употребляется. И все они друг другу противоречат. И даже можно пояснить, почему так произошло: потому что само это понятие развертывалось в массе независимых друг от друга рассуждений, ориентированных на другие пространства или на другие предметные организации. И вот теперь для этой системы оно не срабатывает. И так оказывается с каждым понятием, которым мы хотим воспользоваться. Поэтому первое, что мы должны делать в рамках темы «Построение теории мышления», – менять и трансформировать систему понятий, которыми мы пользуемся. Всех понятий. И иначе нельзя. Нельзя представлять себе дело так, что мы одно, два каких то понятия переделаем, а остальные можем оставить прежними. Переделке и трансформации подлежат все без исключения понятия, которыми мы пользуемся, все понятия, которые относятся к этой области, все понятия про мышление и деятельность и также про объекты мышления и деятельности.
И тут я вынужден переходить в рефлексивный план и обсуждать вопрос: что же есть эти понятия? Что это такое? Что мне дает право и основание делать такое утверждение? Я исхожу из того, что понятия – это такие особые образования, которые, с одной стороны, характеризуют те стадии мышления, которые существовали до предметной организации мышления.
Во вторых, понятия – это такая форма организации рефлексии и мышления, которая обслуживает все другие формы организации мышления, в том числе методологические и все иные. И эти понятия существуют как отдельные, монадные образования. Я дальше еще буду неоднократно возвращаться к этому вопросу, но тут я все время исхожу из определенного представления о понятии: это некоторое отдельное образование, может быть, с какой то сложной жизнью… Понятия взаимно отображаются друг на друге, но они не образуют системы, и поэтому каждое понятие я должен и могу рассматривать отдельно от других. При этом мы сталкиваемся с тем, что хотя понятия и не образуют системы, но они все взаимосвязаны и взаимозависимы: когда я затрагиваю одно понятие и хочу его трансформировать, то оказывается, что это понятие связано с целым рядом других понятий. Например, если я беру понятие теории, то оно неразрывно связано с понятием объекта, исследования, конструирования, доказательства, объяснения и целого ряда других… Оно неразрывно связано с понятием рефлексии. И поэтому каждый раз оказывается, что выделяется всегда не одно понятие, а целое семейство связанных между собой понятий, своего рода узел. Поэтому, поставив здесь фактически задачу трансформировать понятия, я сталкиваюсь с совокупностью таких проблемных узлов. В центре каждого из таких проблемных узлов лежит какое то одно понятие – то, которое я выбрал, а на периферии с ним связан целый ряд других понятий, которые должны быть ухвачены как одно узелковое образование. И когда я проделываю эту работу, то я потом могу обратиться к следующему понятию, и опять создастся определенный узел. И я должен буду их рассматривать все, каждый по отдельности или в рамках таких семейств.
Но спрашивается: а на что же я при этом опираюсь? Что мне дает основание для систематизации материала? И тогда мы приходим к исключительно важному и принципиальному выводу: основанием и опорой в этой работе по критике и перестройке понятий (а это работа критическая в первую очередь, и, кстати, мы ей как раз больше всего занимались и отработали методы такого критического анализа, в большей степени, чем всего остального) всегда является противопоставленная ей онтология. И поэтому я могу сказать следующую вещь, которую я проецирую ретроспективно в историю: собственно работа с понятиями, их критика и конструирование возникают одновременно с проявлением метафизики, то есть онтологической работы, и образуют существо философской формы организации мышления. Собственно, это два полюса одного и того же.
При этом я тут забегаю вперед и должен говорить о том, что является результатом самой такой понятийной критики. Поскольку все идет в таких циклах, постольку мне все время приходится апеллировать к чему то как к уже выясненному…
При этом я тут забегаю вперед и должен говорить о том, что является результатом самой такой понятийной критики. Поскольку все идет в таких циклах, постольку мне все время приходится апеллировать к чему то как к уже выясненному… То, что раньше, исходно существовало как знание, начинает раскладываться на рефлексивно выделенное онтологическое представление, то есть мы начинаем отвечать на вопрос: каков объект этого знания? [Знание раскладывается] на операциональную составляющую и на составляющую знаковой формы…
И когда мы все это выделяем в знании и фиксируем за счет рефлексии, то тогда, по сути дела, и получается понятие. Понятие рождается из знания, но тогда, когда знание рефлексивно обрабатывается и в знании выделяются эти основные составляющие. И я бы мог назвать еще четвертую составляющую – это замещение, или интенциональные отношения. Но с этой частью сложно, она не всегда выявляется.
Итак, когда по поводу знания, таким образом разложенного в рефлексии, или по поводу знания, таким образом разложенного, складывается рефлексия, то тогда и появляется понятие.
И поэтому структуру понятий в самом простом виде я бы нарисовал так: структура знаний или предмета, которая соответственно отражается в рефлексивном полюсе. Понятие есть прежде всего определенная единица нашей рефлексии, и поэтому ее нельзя никогда путать со знанием. Понятие есть принципиально иное образование. Понятие – это единица нашей рефлексии. И поэтому оно представляет собой «матрешечное» образование: внутри понятия находится знание, но уже знание не как таковое, не как непосредственное знание, а знание предметизуемое, то есть знание, зафиксированное в рефлексии во всех своих основных составляющих, включая объект знания, операцию, метод, методику и знаковую форму, в которой все это фиксируется (см. рис. 8).
  Рис. 8    
 
PRISS-laboratory/ Виталий СААКОВ/ библиотека// Щедровицкий Г.П. На перекрестке мысли: введение в системомыследеятельностный подход/// Пространство методологической работы и деятельностный подход/ Если бы я попробовал нарисовать основной схематизм натуралистического подхода на своем деятельностном языке, то я бы должен был нарисовать вот такое представление об объекте, а дальше какие то системы деятельности, которые берут его с разных сторон (см. рис. 1)
© Г.П.Щедровицкий, 1979
 
 
Если, к примеру, у нас появляется понятие числа, то это означает, что мы можем выделять единицы считаемого множества, мы имеем множество или количество как объект, у нас есть операция пересчета отсчета, у нас есть особым образом построенная, фактически уже бесконечная форма числа, то есть знаковая форма, развертываемая еще и конструктивно. И вот тогда у нас появляется понятие числа.
Я забежал вперед. А мне нужно совершенно другое: я здесь должен заняться критикой и реконструкцией понятий. Но при этом, хотя они и не систематизированы, то есть не организованы в систему теории, они все взаимосвязаны друг с другом и зависят друг от друга, но не непосредственно, а за счет того, что фиксируют взаимосвязанную мыслительную работу. И чтобы выявить эти связи и зависимости, мы вынуждены создавать специальную [конструкцию], дабы провести такой критический анализ и реконструкцию с целью связать и соотнести их всех вместе. И такой конструкцией являются онтологические картины, или онтологии, относительно которых мы и начинаем критиковать и реконструировать понятия, задавая способ членения этой онтологической картины через выделенные методики.
Почему там обязательно должны быть операции и процедуры? Потому что без этого нельзя выявить тот поворот объекта, или тот срез абстракции, на котором задается данное знание, данный предмет и, соответственно, данное понятие. Онтология есть как бы плоское, сплющенное единство всех их, и понятия существуют сами по себе. Они каждый раз – монады. Но поскольку они появились за счет того, что мы особым образом резали нашу деятельность и оформляли ее, а эта деятельность еще, кроме того, связана и образует такие целостные единства, то мы теперь можем эту целостность и единство реконструировать за счет создания онтологической картины, за счет создания плоскости идеальных объектов. И это, собственно, порождает, на базе этого начинаются собственно философская систематизация понятий и построение того, что может быть названо «философской теорией».
Философская теория не обязательно существует в философии. Она может существовать в лесоведении, психологии. Психология дает нам образцы такой философской теории. То, что делал Л.С.Выготский, то, что пытался делать А.Н.Леонтьев или С.Л.Рубинштейн, – это все были попытки как то соорганизовать понятия, которыми пользуется психология, на базе единой онтологической картины. До науки, научного исследования они вообще никогда не доходили, поскольку они не могли решить и эту проблему. То есть им так и не удалось построить никакой онтологии для психологии. Но цель и задача состояли именно в этом – в такой философской теоретизации понятий на базе единой онтологической картины.
Но это ведь вообще бессмысленная задача, потому что нельзя превратить совокупность понятий в теорию. И не нужно этого делать, ибо это никому не нужно. Смысл и сила понятий в том, что они изолированы, а единство задается через онтологию и онтологическую работу. Именно поэтому в древнегреческих философиях, в современной психологии онтология и онтологическая работа должны осуществляться сами по себе. И, кстати, в этом плане [психологи] могут оказаться впереди физики, химии. И, вообще то говоря, это более пластичная, более богатая и более живая форма. Потому что физика проделала сейчас это движение, вышла к проблемам квантовой механики и погибла. Потому что ее теоретические формы, собственно научные, предметные, оказались слишком косными. И поэтому для них нет тут другого пути, как начинать все заново… И, собственно, они так и пытаются сейчас делать, ибо эта старая форма научно предметной теории – косная.
И в этом плане очень интересно анализировать историю математики. Задайте себе вопрос, Константин Львович: а почему «Начала» Евклида не развивались дальше? И вообще, существенен и интересен вопрос: а что, все, что существует, все формы организованностей мышления бесконечно развиваются? И нет у них конца? С моей точки зрения, это ерунда. Каждая такая форма достигает определенной завершенности и на этом умирает. Она откладывается в культуру, существует там, ею пользуются, но она умерла… Все… И поэтому надо начинать все снова, и, кстати, поэтому создаются новые математики…
Итак, я должен рассматривать эти понятия, должен противопоставить им некоторую онтологическую картину. И я все время буду прибегать к таким онтологемам… То есть я буду задавать схемы актов деятельности, знаний, мыслительных структур как онтологические. Но для того, чтобы вообще двигаться дальше, я ведь должен еще как то соорганизовать свое собственное движение. Я сейчас об этом буду говорить, а этот кусочек закончу репликой… Подобно тому, как меня удивляют психологи, которые не хотят заниматься подлинными проблемами психологии, в частности проблемами психологии знаковости и знаковой организации поведения, также точно меня удивляют философы и логики, которые оставляют без внимания самые кардинальные, самые решающие проблемы своей профессии, например соотношение логики и онтологии. Я бы хотел обратить внимание присутствующих на исключительную важность такой темы – логика и онтология. Мы все говорим: логика логика… Но до сих пор нет ответа на вопрос: с чем это «едят»? Каково понятие логики? Как оно эволюционировало? Какой смысл имело в каждую историческую эпоху? Как это связано с моментами онтологической работы?
Чернов (неразборчиво).
Как представить себе возникновение философии? Там много, конечно, компонентов, но я беру одну линию: возникает много таких изолированных понятий, начинается их соотнесение и связывание и критика. Диалоги Платона – это классический образец такой критики. Спрашивается: что нужно теперь, чтобы как то начать их соотносить и связывать разумно? Не просто «я думаю так, ты так» и т.д., а чтобы было какое то основание. Вот для этого начинает строиться онтология. Сам Платон ее намечает, Аристотель строит. Начинается метафизическая, или онтологическая, работа. И начинается соорганизация понятий на базе онтологии. Вот это выступает как одна из первых форм теории – это теория философского типа, или философская организация теории.
Чернов (неразборчиво).
Как представить себе возникновение философии? Там много, конечно, компонентов, но я беру одну линию: возникает много таких изолированных понятий, начинается их соотнесение и связывание и критика. Диалоги Платона – это классический образец такой критики. Спрашивается: что нужно теперь, чтобы как то начать их соотносить и связывать разумно? Не просто «я думаю так, ты так» и т.д., а чтобы было какое то основание. Вот для этого начинает строиться онтология. Сам Платон ее намечает, Аристотель строит. Начинается метафизическая, или онтологическая, работа. И начинается соорганизация понятий на базе онтологии. Вот это выступает как одна из первых форм теории – это теория философского типа, или философская организация теории.
Что я называю «философской теорией»? Совокупность понятий, связанных и соотносимых друг с другом на базе единой онтологии, или онтологической картины. И обратно: если теория построена таким образом, то я ее буду называть философской теорией. И мне еще очень важно следующее: что это есть систематизация, соорганизация понятий. Обратите внимание, не знаний и не предметов, включенных в понятия внутри по принципу «матрешки», а именно соорганизация понятий. Когда математикам этого стало недостаточно и они начали работу по систематизации на основе выделения таких предметных образований или знаний, начали разворачивать систему знаний, а не систему понятий, тогда мы получили то, что в Античности было названо «математикой». Математикой не в нашем, современном смысле, а в смысле науки, противопоставленной философии, ибо таков был первоначальный смысл слова «математика». Потом, когда начали складываться теории третьего типа и они были противопоставлены математическим и философским теориям, тогда математика начала приобретать нынешний смысл – математика в отличие от науки. А первоначально эта математическая форма организации возникает уже на сломе понятий, как бы на снимании рефлексивной оболочки и на организации этого содержимого. Но это происходит дальше.
 
Ильясов: А психология, еще не убежавшая из философии, ведь имеет определенную ценность?
Они просто несопоставимы по своему богатству. Если вы берете гербартовскую систему психологии или гербартовскую систему педагогики, организованную философски, если вы берете вундтовскую систему, то их просто нельзя сравнивать с тем, что есть сейчас.
Анисимов: Правильно ли я понял, что та организация понятий, о которой вы говорили, дается в противопоставлении системной организации понятий? Это – организация для рассуждения.
Ведь я с этого же и начинал. Как я вводил понятия? Я говорил, что понятия – это узлы, средства построения рассуждения. И, кстати, здесь будет очень интересная проблема – и в ретроспекции, и проспективно. А что здесь, собственно, систематизируется или соорганизуется – рассуждения или понятия? И это образует одну из интереснейших тем для дискуссий в комментариях…
Скажем, в комментариях к «Началам» Евклида, в прокловских комментариях по поводу философии геометрии, когда обсуждается философский смысл математического знания, теории и т.д., основной вопрос: что такое доказательство и что здесь зафиксировано? Какую структуру они имеют – философские образования и т.д.? И к этому возвращается дальше Спиноза, когда строит свою «Этику». Вся эта проблематика именно здесь и развертывается. Что это такое? С одной стороны, это не что иное, как организация рассуждения, то есть синтагматика. А с другой стороны, поскольку речь идет о понятиях, это уже должна быть парадигматика. Но понятия – это и есть такие образования, которые создаются в синтагматике, носят парадигматический характер, но в парадигматику не попадают или попадают как отдельные образования, или застывают где то между синтагматикой и парадигматикой. И понятно почему: понятия есть единицы рефлексии. И это очень важно все время иметь в виду. Это не значение. И поэтому нельзя, Олег, сказать то, что вы сказали: не может ставиться задача на систематизацию понятий.
Анисимов: Но я же этого не говорил. Я говорил о противопоставлении системной организации какой то другой.
Системной организации вообще? А в применении к понятиям это не срабатывает. Там не может этого быть в силу этой очень интересной и сложной двойственности… Хотя мы возвращаемся к проблемам построения теории мышления, и мы обязаны «снять» слой понятий. И, следовательно, мы обязаны ответить на вопросы: что есть понятия? как они организуются? И это все войдет тоже как особый слой в проблематику построения теории мышления. Потому что никакой теории мышления без понятий и их соорганизации нет и быть не может.
Я одновременно проделываю много разных работ. Я намечаю исторически все это – вот так это все было, вот так эта проблематика перед нами стоит, вот таковы возможные формы… Итак, когда мы имеем множество таких понятий, как ядер, то я должен каким то образом все это движение соорганизовать. Эта первая моя задача. То есть я должен просмотреть все основные понятия, их реконструировать. Но я должен это делать в определенном порядке и, как я уже говорил выше, определенными методами. И поэтому я организую все это в такие проблемные узлы. Но при этом, организуя все это в проблемные узлы, я понимаю, что у меня будет происходить все время дрейф такой… И я буду, поставив, задав один проблемный узел, потом, в ходе его обсуждений, часто буду вынужден сместиться в другой, третий, четвертый…
И здесь опять выявляется очень важная проблема порядка, или восхождения, что то же самое. В каком порядке я должен обсуждать эти вопросы? Начать я могу, в принципе, с любого понятия и с любого понятийного проблемного узла. Но при этом выясняется каждый раз, что у меня либо хватает средств, либо не хватает, и я должен буду передвигаться к другому [узлу]. И поэтому мы каждый раз спрашиваем: а там существует какая то внутренняя зависимость, членение? Спрашивается: с помощью чего мы можем ответить на этот вопрос? По видимому, только исходя из построенных нами онтологических картин. Я еще раз повторю этот тезис: мы можем обратиться к любому понятию, к любому проблемному узлу – в зависимости от того, какие задачи мы решаем на практическом уровне. Скажем, мне нужно ответить на вопрос «что есть теория?», и поэтому я выделяю понятие теории, делаю этот ход. Но всякий раз я буду определять все это в какой то степени приближения, проводя историческую критику, либо я буду организовывать это понятие как бы имманентно, локально… Я имею на это право, ибо понятие – это монада. И я эту работу могу проделать. Но, с другой стороны, поскольку я говорю, что все понятия должны быть соорганизованы, мне хотелось бы мою работу минимизировать. Почему я говорю «минимизировать»? Потому что для решения задачи я могу определить то или иное понятие имманентно. Но когда я потом перейду к другим задачам и определю другое понятие, окажется, что оно мне дает «волну» на первое. И вот тогда, в этой ситуации, впервые осознаётся и формулируется задача собственно теоретического развертывания, то есть задание такого порядка обсуждения и разворачивания понятий, которое бы дало возможность построить систему (пока не говорю чего) – теоретическую систему, не обращаясь все время к таким обратным реконструкциям и постройке элементов.
Вообще то этот ансамбль понятий может строиться путем непрерывной постройки его элементов: мы осуществляем такие челночные движения и все время приводим понятия в соответствие друг с другом…
Все время идет такая работа. Кто то продвинулся – ставится задача все остальное подтянуть… Так сегодня развивается физика, так развивается биология, так развивается химия. Они все время перестраивают свой ансамбль понятий. А вот математики попробовали выскочить из этого. И для этого им надо было проделать работу совершенно другого рода: они для этого задали пространство, задали такую вещь как «фигура», и положили их в пространство, задали эту первую процедуру построения равностороннего треугольника, а потом систему редукций, или сведений к этому равностороннему треугольнику, и всё выразили через один эталон. И в какой то момент ставится задача на систематическое выведение всей совокупности этих знаний. Что там происходит? Там происходит совершенно другое: надо теперь отказываться от монадности этих образований, следовательно, происходит эта разбивка, начинает складываться то, что мы сейчас называем «предметной организацией теории».
Заскочив так вперед, я теперь задаю вопрос: решая задачу с мышлением, что мы можем делать и как? Перед нами несколько возможных образцов работы: с одной стороны, вроде бы можно соорганизовывать понятия, с другой стороны, можно пытаться решать эту задачу систематически… Но тогда что мы должны для этого делать? У нас фактически уже три образца здесь получаются: соорганизация понятий в отнесении к онтологической картине, разворачивание единой онтологической картины и предметная организация онтологии. У нас есть эти три типа, соответственно, три типа построения теории. Итак, мы можем соорганизовывать понятия, апеллируя к онтологии и беря ее за основание. Но с того момента, когда возникает эта задача, возникает вопрос: а можно ли избавиться от этого? Можно ли проделать работу таким образом, чтобы сразу вывести всю совокупность понятий и закрепить их? Что мы для этого должны сделать? И тогда начинается конструктивное развертывание онтологий, построение метафизических, или онтологических, картин в рамках чистой онтологической работы без всякого исследования в современном смысле слова. Чистая онтологическая работа связана с чем? Со схематизацией смысла предшествующих понятий, критикой и схематизацией смысла, выражением их в единых конструкциях онтологии и построением новой системы понятий, снимающих содержание, закрепленное в старых понятиях, и новой развертываемой онтологии в новой системе соорганизованных понятий. И все это – без всякого исследования.
Первый случай: соорганизация в ансамбли понятий с опорой на онтологию. При этом движущая сила идет в понятиях и в живом рассуждении. Рассуждения могут быть самые разные, и отнюдь не онтологические – исследовательские, конструктивные, проектные – какие хотите. Все время идет работа, все время рождаются разнообразные понятия, эти понятия соотносятся друг с другом через онтологию.
 
Второй тип. Вы все время соотносите эти понятия, организуете, движетесь и т.д. и потом говорите: черт побери, восьмой раз определяю это понятие предмета, надоело уже; и прошлое было хорошее, и позапрошлое, а опять не срабатывает. Ведь я продвинулся на прошлой неделе, у меня возникло новое представление, новое понятие, и у меня все пошло прахом, поскольку я чего то не учел… Ну, сколько можно делать эту бессмысленную работу? Снова и снова создавать понятия?
И вот когда это все становится ясным, то возникает вопрос: а как от всего этого избавиться? Ответ: надо систематически развертывать онтологию. И начинает развертываться собственно онтологическая работа и будет строиться онтология. Кстати, с чего физика начинала? Если вы берете такую вещь как представление о молекулярно кинетическом строении вещества, то физика начинала как раз с этого. С чего начиналась химия в работах Лавуазье? С систематического развертывания онтологии. И математика делала то же самое. Если вы берете работы Демокрита, Пифагора и дальше, то там ведь им нужно было задать онтологии. И они их задают, причем задают конструктивно, аналитически и т.д. Если вы берете первые работы по теории чисел, то я думаю, что там – то, что делали Коши и вплоть до Кантора, – это тоже есть построение онтологии, по видимому, там каждый раз есть тип работы чисто онтологический.
В тех случаях, о которых я говорю, этот тип работы либо включен в математическую работу, либо включен в предметную работу и существует там просто как относительно автономная подсистема. В методологии все это может разворачиваться как самостоятельная работа, и тогда появляется собственно онтологическая работа. А если мы берем философию, то она ведь фактически выходила к этому; в работах Гоклениуса, Христиана Вольфа, Лейбница вроде бы обрела свои основания. Собственно, Гербарт и другие реализовали эту методику, и тут появился Кант, который подрубил их под корешок. Потом к этому еще добавил Гегель и сказал, что не надо трех слов…(28). И вот тут метафизика распалась. Хотя, скажем, Декарт ведь проделывал самостоятельную метафизическую, или онтологическую, работу…
И только теперь, когда перед нами возникли новые задачи: строить новые предметы, обеспечить развитие технологий, решение организационно управленческих задач на уровне региона и т.д., – оказалось, что без этой онтологической работы вообще ничего делать нельзя. И тогда вернулись назад и начали задавать вопросы: а кто это кричал, что «не надо трех слов»? почему Гегель вообще это все делал? почему у него была такая точка зрения? И поэтому появляется такой сборник – «Что такое марксистская онтология?»(29), то есть без этого дальше нельзя. Онтология задает целостное, интегрирующее основание для человеческой деятельности и мышления. Это есть необходимая форма мыслительной работы.
Я опять отклонюсь немного… Онтология дает личность. Без онтологии личности не может быть. Это еще Платон понял. Онтология дает основание для ценностей, для строительства самого себя. Кстати, очень интересный пример с нашими интеллигентами, которые сейчас в восточные формы ударились… Это дико интересно, но ведь результатом каждый раз является следующее: получив этот культурный релятивизм, это представление, они теряют личность. Потому что ценностей то у них больше нет. И дела нет. Они могут делать все что угодно. Только ничего не могут уже. И, кстати, когда Платон боролся с софистами, то он эту сторону и подчеркивал: он говорил, что тот, кто может доказывать, что белое – это черное, а черное – это белое, и вообще принимает этот релятивизм, он уже не может сохранить свою личность и что либо делать. Поэтому онтология нужна, чтобы соорганизовать интегрированное действие и дать основание для существования человеческой личности. Но если вы начинаете разворачивать эту онтологию и она у вас становится базовым основанием, то вы в этом процессе единого разворачивания онтологии порождаете систему необходимых вам понятий в жесткой последовательности и связи. И поскольку эти онтологии начинают определять и предметные организованности, и возможные области экспериментов, и цели для научного исследования и т.д., они все оказываются замкнуты на этой единой онтологии.
Кстати, ведь что вообще то произошло сейчас? Онтологии, созданные в позднее Средневековье и ранее Возрождение, дали основание для появления совокупности натуральных наук. Они могли развиваться как науки в их предметной организации за счет крепости, фундаментального характера этих онтологий, их неизменности. Они исчерпали возможности этих онтологий, уперлись, по сути дела, в области, которые не соответствуют тем, сложившимся четыреста лет назад, онтологиям и оказались в пустоте – ни в чем. При этом сохраняется иллюзия, что наука якобы может двигаться вперед и осуществлять процесс познания без философии и без онтологии. Поэтому возникают совершенно неразрешимые проблемы (я буду сейчас повторять то, что рассказывал в одном из своих докладов Малиновский), складывается интересная ситуация: нам, чтобы присоединить технологии к природе, нужна новая онтология – онтология деятельности, технологии природы человека! Нужно решать проблемы: что делать с отходами? К кому обращаются? К ученым. Почему? А к кому же еще обращаться? Они же у нас носители знания и познания. А они и есть те самые, которые произвели все это безобразие. Больше того, их спрашивают, как вообще соорганизовать все это, а они начинают рассказывать, как они там эксперименты ставят, что они делают, то есть совершенные несуразности.
А спрашивается: кто же теперь эту новую онтологию сможет дать? И поэтому появляется масса удивительных образований типа экологической технологии или еще чего то, которые непонятно куда идут и что это такое.
Ученые всегда отвечают так: давайте мы померим, сколько вредных осадков. Им говорят: да мы и без вас знаем, что очень много. Вы нам скажите, что делать! А они: давайте мы вам что нибудь померим.
Чернов: У вас онтологическая работа ничем не отличается от философии.
Нет, неправильно. Раньше онтологическая работа осуществлялась философией, в рамках философии. Сейчас онтологическая работа либо должна осуществляться сама по себе, либо в рамках методологии, оформленная как онтологическая работа. Точно так же исследование, конструирование, проектирование – в рамках методологии. А может существовать сама по себе, как существует архитектурное, градостроительное проектирование само по себе. И его еще нужно методологически организовывать, чтобы оно было адекватно всем остальным формам человеческого мышления и деятельности. Вот моя точка зрения.
Брянкин (неразборчиво).
Предметники от нас, Сергей Васильевич, ничего не должны получить. Дилемма очень жесткая: либо они будут заниматься методологией, либо перестаньте с нею баловаться. Вы предметники? Ну и работайте себе на здоровье. Чего вы ходите на собрания? Но коль вы куда то ходите, чего то ищете, значит, вы не умеете. И перестаньте говорить о трудностях, которые у нас здесь возникают. У нас никаких трудностей нет. Я с ними, с предметниками, стараюсь вообще не общаться. Сергей Васильевич, по прежнему как предметник, говорит: посмотрите, что вы делаете – вы берете онтологии, переводите их в ансамбли понятий, двигаетесь… Предметники берут ваши понятия, они им нужны. А я отвечаю: да не нужны мне предметники, забудьте о них. Если вы хотите обсуждать вопрос о развитии методологического мышления, вы обсуждаете этот вопрос.
А по поводу методологического мышления я отвечаю так: нельзя методологически рефлектировать мысли, переведя это только в ансамбль понятий. Здесь задача состоит в том, чтобы развертывать в едином движении всю совокупность элементов методологического пространства. Всю! Потому что так должно быть построено методологическое рассуждение… Ведь я то осуществляю рассуждение, и это рассуждение не преследует цели дать что то предметникам, а преследует только одну цель: развивать всю структуру методологической рефлексии и методологического мышления…(30)
 
Я не перевожу онтологические картины на понятийный уровень. Я отражаю онтологические картины в ансамблях понятий. И вне работы с понятиями не может быть здесь никакого движения. Но не может быть и движения только в ансамблях понятий. Это гетерогенное, гетерархированное, гетерохронное целое, которое нужно двигать как одно, как оно задано этой организацией пространства (см. Рис. 7). (см. рис. 4). И нужно эти рассуждения и движения в каждом из этих верстаков нормировать, организовывать, технологизировать как вот такое движение во всем этом пространстве. И пока вы не приняли эту задачу и не работаете на нее, всякие наши разговоры с вами бессмысленны. Ни вы ничего не будете понимать, ни мне неохота будет с вами разговаривать.
Брянкин: А каким образом я могу оспособить это пространство?
Так я же для этого и рассказываю вам все это так долго… Предполагая, что вы снимаете некоторый «ориентировочный» план, по Гальперину, а потом будете пытаться это делать – год пытаться, два пытаться, пять… Другого пути нет.
Малиновский: (неразборчиво).
Я ведь и обсуждаю этот вопрос. Мне же нужно ее (рефлексию) разложить. Я поэтому все эти линии намечаю. Я говорю: ведь очень интересно, что я буду делать с понятиями – буду ли я их в ходе онтологической работы создавать или в ходе конструирования? Ведь я задаю понятие как единицу рефлексии. Я дальше должен все это объяснить… Вот у меня здесь, над всем этим, находится пространство рефлексии, а в нем «плавают» эти верстаки, предметы, онтологии, практики и прочее. Поэтому практически у меня все понятия идут как бы в двух субстанциях: эта часть остается в пространстве рефлексии, а эта, нижняя, – предметная, знаниевая, операциональная – развертывается в соответствующем блоке. Если у меня будет проектный предмет или проект – это у меня будет идти в соответствующем верстаке. Если это исследование – это будет идти в исследовательском образовании.
Понятия за счет своей гетерогенности и дают нам возможность объединять рефлексию и предметную организацию. Но чтобы объяснить это, я должен был бы еще дальше рассмотреть – что? Вот я наметил эти узлы проблем… Начал с узла проблем теории, исследования, как то проблематизировал, и вдруг выясняется, что обсуждение этого узла проблем про теорию зависит от предварительного обсуждения узла проблем, связанных с рефлексией. Что такое рефлексия? А дальше, скажем, пойдет проблема знака с его составляющими: смыслом и т.д. Потом пойдет проблема знания. Но если я так говорю – «оказывается зависимым», «пойдет» и т.д., – то я все перевожу в онтологический план и говорю: ну, да, но я ведь уже представил себе, что, к каким бы понятиям я ни переходил, у меня каждый раз будет закручиваться такая циклическая связь, то есть у меня определение этого понятия будет зависеть от определения других и т.д.
И я могу, следовательно, делать всю эту работу только в бесконечно устремленном вперед движении, решении конкретных задач, то есть, по видимому, в процессе исследования мышления. И ни о каком построении теории мышления я при этой стратегии вообще говорить не могу. Я все время буду двигать эту совокупность понятий, соответствующих онтологических картин соответственно тем практическим задачам и проблемам, которые будут возникать. Мы выходим на этот естественный путь развития мышления.
А мне то ведь нужно нечто другое. Мне нужно осуществить такое движение, в котором бы я этот хаотический дрейф, хаотическую эволюцию спрогнозировал бы и «снял». А для этого я, по видимому, должен перейти к онтологической работе и разворачивать онтологии. Но пока что, если онтологии нет и не из чего вроде бы ее разворачивать, то я должен по крайней мере наметить для себя некоторый порядок обсуждения этих понятий, если я работаю в слое понятий. Я не спускаюсь сразу к этой онтологической работе: у меня нет соответствующих понятий, а те, которые есть, не годятся для онтологической работы. Но я их должен так критически разобрать и так соорганизовать, чтобы предусмотреть в этом движении в слое понятий линию разворачивания онтологии. А это означает, что я эти проблемные узлы должен теперь как то соорганизовать в их последовательности и двигаться не просто – одно, потом – другое, потом – третье и т.д., а я должен наметить эту линию обсуждения узлов проблем. Малиновский: Понятийная работа имеет особый статус? Она не входит в блоки организации этого пространства?
Это иллюзия, что есть какая то особая понятийная форма организации мышления. Ибо понятие есть всеобщая форма организации рефлексии. И мы, кстати, не знаем других. И, с моей точки зрения, понятие и остается этой основной единицей рефлексии. А рефлексии – по своим типам – непрерывно меняются. Рефлексия сама по себе не организуема. И в этом ее сила. А рефлексия организуется опосредованно и косвенно через соответствующие предметные, квазипредметные и псевдопредметные организованности. Рефлексия организуется не сама по себе, а тем, на что она направлена, и организацией того, на что она направлена. Вообще, любой вид работы всегда имеет рефлексию и эту деятельностную организацию или, во всяком случае, операционализированную, квазидеятельностную. А иначе не будет мышления. И в этом, кстати, тайна взаимоотношений между мышлением и деятельностью, этого обратного движения, которое я рисовал (см. рис. 7). Причем я уже заранее обсудил и показал, каким образом формы организации мыслительного и рефлексивного пространства затем превращаются в формы организации деятельности, как они должны использоваться для этого, как бы проходя это обратное движение.
Тюков: Для первого образца теории онтология вроде бы должна быть построена на верстаке?
Но вы же сами очень красиво ответили… Да, но не предполагает работы с самими онтологиями.
Тюков: Не обязательно на этом верстаке, но, может быть, в каком то другом пространстве?
Видите ли, это очень сложный вопрос. В каком плане? А как Аристотель получил свою родовидовую онтологию? Он ведь не строил онтологию. Он ее извлек за счет рефлексии. Он рефлектировал формы речи языка, и вот эти стандартные формы речи языка, зафиксированные им в логических схемах, он затем проинтерпретировал в план всеобщей онтологии. То есть эти формы греческой силлогистической речи были положены как всеобщая онтология и проинтерпретированы онтологически. Я, кстати, этот вопрос очень подробно разбирал в лекциях «Основы теории знания». Это где то 1971–1972 год. Там эта трансформация таких рефлексивных и проектных образований в исходные формы знания разобрана довольно подробно.
Вообще, в этом пространстве организации методологической рефлексии и мышления любые структуры переводятся в любые другие. То есть каждый верстак рефлексивно отражает все другие. И отсюда, казалось бы, первый парадоксальный тезис: мы можем осуществлять исследование за счет конструирования, проектирования, онтологической работы без единой исследовательской процедуры. Мы можем осуществлять проектирование без единой проектировочной процедуры. Мы можем осуществлять конструирование без конструктивных процедур – за счет других. И это есть один из важнейших принципов превращения метода в средство или организации – в элементы. И рефлексия постоянно проделывает такую штуку, то есть она может, например, извлечь структурную организацию элементов и задать ее как новый тип, то есть превратить структурную организацию в процедуры или структурную организацию процедур в процедуры. Вот что может сделать рефлексия. И она все время осуществляет перепредмечивание, переоформление, все время создает «превращенные» формы.
Сарычев В.М.: (неразборчиво).
Конечно. Больше того, онтологии всегда существуют в множестве взаимоотражающихся, вкладывающихся друг в друга образований. Сами онтологии в рамках онтологической и методологической работы превращаются в сложнейшие системы взаимосвязанных друг с другом конструкций. Причем там есть очень сложные вещи…
 
То, что мы уже делаем, всегда принципиально развертывается на двух ортогональных онтологиях: на организационно деятельностной онтологии, в которую мы помещаем себя, и на объектно натуралистических онтологиях, которые задают объекты. У нас, во первых, сами онтологии представляют собой множественное и очень сложно организованное целое, а во вторых, внутри, между этими двумя предельными ортогональными онтологиями, развертывается, как шапокляк, раскрывается один ряд и второй ряд, которые еще организуются по принципам системных категорий, то есть морфологически, функционально, процессуально и т.д. с очень сложным решением вопроса о формах, материале и формах содержания. И поэтому они все живут в разных [отношениях ко времени], и одни из них, как видите, хронические, другие – ахронические и т.д.


   
 
6. [Понятие рефлексии. Рефлексия и мышление. Рефлексия и сознание]  
В прошлый раз, уже после завершения официальной дискуссии, мне задали несколько очень дельных вопросов, касающихся, по сути дела, стиля, способа, метода моей работы. И по идее, если бы я мог на них отвечать, я должен был бы рассказать о стиле, способе онтологической работы внутри методологии. Я постараюсь это сделать в следующий раз, завершая весь этот цикл. Поэтому я сейчас просто хочу сказать задавшим вопросы, что я принял вопрос, имею его в виду и обязательно отвечу. Но, во всяком случае, мне для этого нужно проделать ту часть движения, которая намечена на сегодня.
Вы помните, что я, задав схему организации пространства методологической рефлексии (см. рис. 4), а затем поставив перед собой задачу рассмотреть в рефлексивном аспекте само мое движение, перешел к обсуждению различных понятий, обеспечивающих это движение. Я перечислил целый ряд таких понятий, критика и предварительное задание которых необходимы для организации моего движения и всей нашей работы. Некоторые из этих понятий я предварительно разобрал, показал многообразие трактовок понятий исследования, теории и на первом шаге предварительно задал понятие о понятии. И все это делалось в определенном отношении к этой схеме организации пространства.
И теперь я должен, продолжая это движение, то есть анализ понятий, необходимых для организации моей работы, обсудить еще ряд понятий – в первую очередь понятие рефлексии, понятие рассуждения, затем понятия исследования и конструирования. Эти четыре названных мною понятия образуют как бы первое поле, или первый блок. Но я подчеркивал в позапрошлый раз и повторяю сейчас еще раз: само обсуждение понятий всегда идет по определенным семействам, узлам, и довольно подробно, так, как это здесь можно делать, обсудил саму тактику и технику подобных движений.
Из того, что мы обсуждали в прошлый раз, мне важно напомнить сегодня эту взаимосвязь понятий и непрерывное движение с центрациями. Поэтому и сейчас, выделив две таких группы парно организованных понятий – «рефлексия – рассуждение» и «исследование – конструирование», я должен буду параллельно обсуждать еще ряд понятий, которые будут лежать не в центре этого узла, а как бы на его периферии. Мне придется обсуждать понятие интенциональности, затем понятие операционализации, понятия формализации, онтологизации и категоризации, а при этом я опять таки должен буду апеллировать, соответственно, к другим понятиям, к заданным ими содержаниям. Это будет как бы третий слой: я должен буду использовать понятие о понятии, понятие знания, понятия объекта, операции, формы и содержания и целый ряд других.
Мне сейчас важно, чтобы вы видели и представляли себе эти три слоя, понимали слоистое строение того, с чем я имею дело, примерно представляли себе, что я буду затрагивать. Каждый из этих блоков [схемы организации пространства методологической рефлексии] в принципе остается открытым… Эти две группы слева я высветил только на этом отрезке моего движения, а дальше все это должно пойти, по идее, вниз, и я должен буду рассматривать все другие типы деятельности, и основной, левый, слой будет сдвигаться, и, соответственно, будут меняться эти фоновые слои. А кроме того, я могу на определенных этапах и фазах моей работы сдвигаться еще во второй блок, и тогда, соответственно, будет другая центрация. Мне каждый раз придется переорганизовывать эти узлы.
Цель и задача моего сегодняшнего сообщения состоит прежде всего в том, чтобы обсудить понятие рефлексии, содержание этого понятия, включив это все в контекст предшествующих обсуждений, и наметить, с одной стороны, – в ретроспективном плане – то, что мы раньше обсуждали, а с другой стороны, показать (чтобы вы отчетливо представляли) наши цели и линию дальнейшего движения. То, что относится к этой ретроспективе и резюме, основанному на этой ретроспективе, будет по содержанию повторять то, что мы уже обсуждали, но совсем в другом повороте, и в этом плане является во многом новым содержанием. Но какие то моменты, естественно, там будут уже отработаны.
Итак, я прежде всего напоминаю нашу основную цель и задачу, следовательно, обращаю вас ко всему этому движению: главное – это соорганизовать и организовать собственный рефлексивный процесс и собственную рефлексивную работу. А поскольку я говорю все время о работе – о моей работе и нашей работе, – то это можно трактовать и как задачу организации моего и вашего сознания. Но это – вторичный план. Я мог бы точно так же сказать, что мне надо организовать коммуникацию. Главное здесь в этих терминах: «соорганизовать» и «организовать» работу – свою собственную методологическую работу. Эта формулировка сразу входит в известное противоречие с темой моего доклада: «Проблемы построения теории мышления». Но я в прошлый раз неоднократно возвращался к этому пункту и пояснял, что основная то задача, наверное, всегда состоит в том, чтобы организовать свою собственную работу – будь то рефлексия, будь то мышление.
При этом мне надо проделать очень длинное и очень объемное рассуждение. И в этом состоит смысл дела. Оно, правда, может быть сильно сокращено за счет удачной и эффективной организации. Тем не менее я должен проделать это длинное рассуждение, а в результате у меня должна появиться методологическая организация мышления вообще, в том числе ее собственно теоретические формы. То есть одним из результатов этого рассуждения должна быть теория мышления. Но это – один из результатов.
Это только одна из форм организации собственной мыслительной работы. И в такой переформулировке нет, в общем то, ничего странного и необычного. Потому что именно с такого рода задачами и сталкивается традиционно исследователь новатор. Если, скажем, Кеплер пишет «Стереометрию винных бочек»(31), то это ведь длинное рассуждение: перед ним стоят определенные цели, и он должен решить задачу, и, чтобы решить задачу, он рассуждает. А в результате появляется то, что мы потом называем теорией. И, кстати, точно такую же задачу решает Галилей: ему нужно, например, определить законы соударения двух шаров, а в результате рождается теория соударения шаров. Но первоначально в этих книгах, кроме рассуждения, ничего нет.
Значит, то, что мы называем теорией, или то, что потом, будучи особым образом переработано и организовано, становится теорией, есть не что иное, как особая структура, которая порождается этим рассуждением и которую мы затем специально в этом рассуждении как бы высвечиваем. Вот что мне очень важно. Поэтому и тут задача состоит в том, чтобы построить очень длинное рассуждение, а для этого надо его определенным образом организовать. В этом состоит смысл всей работы. На этом пути организации собственного рефлексивного движения мы уже сделали первый важнейший шаг: мы задали схему организации пространства нашей работы (см. рис. 4).
В этом плане можно обсуждать еще очень много интересных и весьма сложных проблем. Если сейчас вы начнете рассматривать всю мою работу сквозь призму нашей основной цели – создания определенных рабочих групп для разработки теории мышления, соответствующих учебных предметов, учебных задач, обеспечивающих передачу и воспроизводство мышления и т.д., – то вы можете теперь, в свете этого представления, видеть все дело так, что я задаю некоторые слои проблем, которые, собственно, и должны обсуждаться в этом контексте.
Если на этом первом шаге соорганизации всей нашей рефлексивной работы была задана схема пространства, то там возникает масса проблем, требующих обсуждения, и это и есть, собственно, первый слой, в том числе и при построении теории мышления. Построить теорию мышления – это значит, прежде всего, обсудить все эти проблемы, связанные с понятием пространства рефлексии, и задать определенные правила, по которым мы можем для каждой нашей задачи либо рисовать это пространство рефлексии и заполнять его соответствующим материалом, либо, каждый раз обращаясь к нему, вынимать из него в определенном порядке, в определенной последовательности все то, что нам нужно для решения разных частных методологических задач. Важно, что мы в рамках методологической работы должны уметь пользоваться этой схемой, а она, соответственно, должна быть организована.
 
И поэтому здесь возникает еще масса проблем разного рода. Я повторил бы их: что такое пространство в его обобщенном смысле? ограниченное оно или неограниченное? замкнутое или не замкнутое? Это также весь круг традиционных проблем, которые обсуждались, скажем, для архимедова пространства, ньютонова пространства, гильбертова пространства, пространства Минковского и т.д.: внешнее и внутреннее для этого пространства; пространство как статическая структура и его временизация; пространство и предметные организации; гомогенность и гетерогенность этого пространства; его гетерогенность и гетерархированность и т.д. Тут, повторяю, есть масса очень интересных и очень сложных проблем, и именно их обсуждение и задает нам первый, ядерный слой в работе по построению теории мышления и вообще организации мышления.
Для того чтобы вы четко понимали дальнейшее, мне из всего этого круга вопросов, связанных с пространством, нужно выделить четыре пункта, которые относятся уже не к пространству вообще, а к пространству методологической рефлексии. Это, по сути дела, напоминание того, что я уже говорил, но мне хочется здесь это подытожить и сделать более резким.
Первая важная особенность того пространства, которое рисовалось все эти заседания, – это то, что его заполняют, сказал бы я, системодеятельностные образования. Почему я не говорю «объекты»? Здесь можно, конечно, воспользоваться словом «объекты», но понимая, что слово «объект» употребляется не в собственном смысле. Это – некие системодеятельностные образования, которые всегда, во первых, допускают, во вторых, требуют четвероякой интерпретации: каждый из нарисованных внутри объемлющей рамки блок есть всегда 1) процесс, 2) структура, 3) организованность и 4) материал. И это принципиально. При этом я могу спроецировать это утверждение в категориальный план и сказать, что я, с одной стороны, пользуюсь категорией системы и здесь идет [соответственно] четвероякая интерпретация каждого блока как системы, а с другой стороны, я каждый раз говорю, что это есть процессы мышления или деятельности, организованности мышления или деятельности, соответственно, материал мышления или деятельности.
Второй очень важный пункт. Я, как осуществляющий рассуждение и всю эту работу, могу вступать в двоякие отношения с каждым из блоков, заполняющих это пространство: с одной стороны, я могу рассматривать каждый такой блок как организационно деятельностное образование и входить в него, а могу его рассматривать как объектное образование и тогда по отношению к нему осуществлять либо исследование, либо конструктивную переорганизацию, либо еще что то. Этот пункт является важнейшим в определении специфики методологического подхода и методологического мышления.
Итак, в одном случае, рассматривая каждый блок как организационно деятельностную структуру, я как бы вхожу внутрь этого блока в буквальном смысле этого слова, то есть принимаю наличествующие там структуры и организованности как принципы, правила формы и нормы моей работы. Там, следовательно, положены не объекты моего действия, а моя собственная деятельность. И я, следовательно, как говорил Станислав Лем(32), вынимаю здесь, у себя, «штепсель» и вставляю там в «розетку», включаюсь и становлюсь ретранслятором того, что там происходит, и живу по этим законам. А могу (и в этом – свобода, задаваемая методологическим мышлением) не включаться в эту «розетку», не входить в эту структуру, а положить ее перед собой и особым образом (уже по законам другой структуры или по законам свободной рефлексии, о которой мы будем говорить потом) с ней манипулировать: исследовать, переконструировать, проектировать и т.д.
Это очень важный момент, без понимания которого, с одной стороны, вообще нельзя понимать специфику методологической работы, а с другой – смысл всего того, что я буду обсуждать дальше, смысл тех основных оппозиций, в которых я работаю… Нельзя понять эти оппозиции, скажем, по отношению к той концепции, которую развивает М. К.Мамардашвили, с его «превращенными формами», и вообще к его концепции сознания(33). Для меня просто не существует всех тех проблем, которые он развивает, и не может существовать, ибо, как это ни странно будет звучать, я то уже исхожу из того, что я работаю не в превращенных формах, и вообще тут уже не может быть превращенных форм, поскольку если мы подключаемся к структурам деятельности, то мы освобождаемся от необходимости двигаться в превращенных формах. В превращенных формах работают только те философы, мыслители, ученые и т.д., которые себя включили в превращенные формы. И поскольку они себя туда включили, постольку они в них, соответственно, и живут. Ведь наше сознание работает как «телефонная станция», как ретранслятор, поэтому все зависит от того, куда вы включились. Они взяли превращенные формы в европейской культуре, и поскольку они себя туда – ко всем этим «экранам» – подключают, постольку они так и работают…
Для этого чтобы пояснить этот прием, я воспользуюсь примером, который приводит Роман Кармен, рассказывая о своей поездке во Вьетнам. Когда он там показывал фильм о Чапаеве, то в момент психической атаки каппелевской дивизии все сидевшие там солдаты вскинули свои автоматы и превратили экран в дырку. Почему? Поскольку у них были превращенные формы, они мыслили в них и не видели разницы между жизнью и кино. А если бы они понимали это различие, то не стреляли бы, а знали бы, что это – экран и это происходит на экране.
Так вот, тот, кто знает, что это кино, он уже освободился от превращенной формы, а тот, кто не знает, что это кино, начинает стрелять. Если мы движемся не в понятиях, а в деятельности, то мы знаем действительность. То есть пафос этого утверждения в том, что действительность есть не содержание понятий, а отнесение себя к деятельности и понимание того, в какой роли ты выступаешь. Очень красиво про это сказал В.Я.Дубровский на дискуссии в журнале «Знание – сила». Ему сказали: «Ведь уж не может полететь». Он ответил: «Если уж знает, что он уж, то он полетит». И в этом состоит весь смысл дела. И в этом смысл прекрасной вещи Ричарда Баха «Чайка по имени Джонатан Ливингстон». Если вы поняли, что [ваше сознание – ] «телефонная станция», то у вас уже больше нет превращенных форм…
Тюков: Подключение – это не понимание. Подключение – это подключение в организованные формы, которые сами представляют собой превращенные формы.
Я понимаю, что это очень трудный момент, и поэтому я здесь и останавливаюсь. Я говорю: если вы работаете в методологической организации пространства, вы можете входить в структуры деятельности (при этом вы знаете, что вы входите в структуры деятельности) и выходить из этих структур деятельности…
Тюков: «Входить в структуры деятельности» и «знать о вхождении» – это все таки разные вещи. Отсутствие проблемы превращенных форм возникает не тогда, когда вы входите в структуры, а когда вы знаете в методологической рефлексии, что вы входите в структуры деятельности. Здесь надо различать включение в организационную форму и представление о включенности и выключенности из этих структур. Это – разные образования или разные слои одного процесса.
Обратите внимание: если это разные слои одного процесса, то это совсем другое. Но постарайтесь разделить эти две вещи: 1) что я говорю (вы можете отнести это к моим заведомо ошибочным представлениям и убеждениям) и 2) понимание того, что я говорю (вы можете, например, проверить, правильно вы понимаете или неправильно). Есть пафос, смысл моих утверждений, содержание. Есть проблема истинности. Вы можете быть не согласны, вы можете считать, что я здесь запутался в трех соснах и вообще не различаю простых вещей. Но это уже относится к дискуссии. Я с удовольствием помолчу, а вы выскажете свою точку зрения и т.д. Но надо различать все это. Пафос моего утверждения здесь состоит в следующем…
Первое. В методологическом пространстве лежат системодеятельностные образования, к которым я могу относиться двояко… Я могу взять любой такой блок как организационно деятельностную структуру. Что значит «взять ее как организационно деятельностную структуру»?
 
Я должен твердо знать, во первых, что это – организационно деятельностная структура, во вторых, что я ее таким образом беру, что я в нее вхожу, занимаю там определенное место со своей соответствующей идеологией – профессиональной, позиционной, групповой, клубной – какой хотите. Я это понимаю, я знаю, что это моя деятельная роль, и я играю свою роль: произношу соответствующие фразы, при этом могу про себя или явно улыбнуться. Если я все это знаю, то я свободен.
Второй момент. А могу встать совсем в другое отношение: я беру эти структуры деятельности и начинаю их рассматривать и трактовать как некий объект. А вот какой объект – мне уже не важно. Я могу сказать: это не объекты – реальный мир из них не состоит. Это только превращенные, превратные и т.д. формы. Ну, прекрасно. Но ничего же не меняется, поскольку я их взял как предметы, про которые я высказываю разные – более умные или менее умные – мысли. Это совсем другая позиция. И я могу сделать одно, могу сделать другое с одинаковым успехом, и при этом я каждый раз буду знать, что я в одном случае делаю одно, а в другом случае делаю другое.
Третий пункт. И один, и другой из названных мною планов существуют в единстве. И это обеспечивается понятием и предметом рассмотрения этих образований. Собственно, представление о предмете и есть связка этих двух планов, или принцип этой двуплановости.
А отсюда – четвертый пункт: я могу совершенно свободно осуществлять распредмечивание этих образований, то есть переходить в план деятельности и в любые элементы этой деятельности, то есть в знаки, в объекты, в смыслы, в онтологические картины, в содержания – куда угодно. Поскольку у меня есть структуры деятельности, которые мне дают набор разнообразных элементов и связи между ними и определенную технику перефокусировок, переходов (так как все структурировано), то я вообще в любой момент могу любой предмет распредметить. И это обеспечивает процедуру вхождения. А могу, с другой стороны, любую структуру деятельности опредметить. И за счет этого я могу осуществлять любые перепредмечивания.
Тут я резюмирую этот кусочек: следовательно, то пространство, которое здесь нарисовано (см. рис. 4), – это не пространство жизни моих объектов, тех, которые я рассматриваю, исследую, о которых я высказываюсь и т.д., это есть пространство моей собственной мысли и деятельности, пространство моей жизнемысли. И это есть единое пространство того и другого. Это принципиально важно. Таким образом, я могу сказать, что обсуждение проблем организации этого пространства, по сути дела, и есть попытка решить основные из тех проблем, которые возникают (я специально даю такую аналогию) в ядерной физике.
Что значит решать ту проблему, которая поставлена принципом неопределенности, принципом дополнительности, представлениями о пространстве времени, которые разрабатывают в последнее время Стивен Чу и другие? Это и есть попытка построить такое представление о пространстве, в котором процессы нашего мышления и нашей деятельности сосуществуют с процессами жизни объектов нашей мысли, где нет этой принципиальной границы и принципиальной оппозиционности, характерной для всего натурализма и обслуживающей его философии.
И с этой точки зрения возникает целый ряд очень важных историко научных проблем. Дело в том, что мы, скажем, говорим о принципе тождества бытия и мышления у Гегеля (и ругаем его много, и пользуемся им не меньше), но для того, чтобы подлинный смысл этого гегельянского представления был бы восстановлен вновь и в этом новом контексте, нужно проводить параллель, соотнеся между собой такую форму организации рефлексии мышления деятельности с теми представлениями о мире тождественного самому себе бытия мышления, о котором говорил Гегель. И в этом же плане очень интересно посмотреть, как это все сейчас развертывается, скажем, в гуссерлевской феноменологии и в феноменологических исследованиях его учеников и последователей. И заодно нужна соответствующая историко критическая проработка представлений о пространстве, начиная от Демокрита и Архимеда и кончая Минковским и Эйнштейном.
Итак, я задал – как первую форму организации методологической рефлексии – схему пространства. У меня там все положено: онтологемы, предметы, понятия, практики и т.д. Причем все это там набросано и лежит, хотя, по идее, нужно все это как то организовать. Следовательно, это пространство принципиально гетерогенно. И это все существует в рефлексии, через рефлексию. Но пока что я ведь не ответил на вопрос: что есть рефлексия и каковы ее процессы? Я поэтому пользуюсь в основном образами: «субстанция рефлексии» и т.д. Я представлял дело так, что все эти образования структурированы, организованы и как бы «плавают» в нашей рефлексии, хотя одновременно подчеркивал и деятельный, активностный характер этого образования в том смысле, что, собственно, они и заданы как одно в этой рефлексии. Именно рефлексия собирает и стягивает все это воедино.
Но задать пространство рефлексии – это только первый шаг. Ведь цель то наша состоит в том, чтобы соорганизовать то рассуждение, которое здесь надо проделать, то рассуждение, в результате которого потом появятся различные формы организации самого мышления для трансляции, воспроизводства, в том числе и теория. И само это пространство есть только одна из форм, как бы первичная форма организации методологической рефлексии и методологических рассуждений.
И поэтому дальше надо обсудить другие формы организации методологической рефлексии, и, собственно, эту работу мы с вами и начали. И здесь возникают две группы проблем… С одной стороны, мы должны ответить на вопрос: что есть рефлексия как таковая, или чистая рефлексия? А с другой стороны, мы должны рассмотреть, инвентаризовать, перечислить, каким то образом описать все те разнообразные формы организации рефлексии, которые обеспечивают наше рассуждение и другие рассуждения (в принципе – всякие рассуждения и всякую мыслительную работу, и всякую деятельность), и они все должны быть, с одной стороны, как бы вынуты из этого пространства и из рефлексии, а с другой стороны, возвращены туда в своих уже отчеканенных формах. И это должно быть сделано за счет этого рассуждения и в ходе него, потому что ведь мы не имеем ничего, кроме рассуждения, и рефлексия наша будет осуществляться прежде всего через рассуждение, хотя и через рисование, и через коммуникацию, то есть через ваши вопросы, ваше понимание и мышление, но именно рассуждение образует ту связь, через которую все это передается.
При этом само это рассуждение (именно это меня интересует в первую очередь) должно быть особым образом организовано. Причем оно должно быть организовано так, чтобы, по сути дела, могло обеспечиваться любое рассуждение методологического типа. Поэтому я рассуждаю и организую это рассуждение; в этом моя цель и моя работа. Но, с другой стороны, меня ведь само рассуждение интересует меньше всего, потому что меня интересуют эти формы организации и возможность включить их в трансляцию и на их базе строить любые рассуждения достаточно эффективно. Итак, у меня здесь оказывается, в общем, два образования: с одной стороны, рефлексия, а с другой стороны, эти формы организации [рефлексии]. И это различие приводит нас к понятиям мышления и деятельности, потому что ведь мышление есть не что иное, как особым образом организованная рефлексия, и деятельность есть на самом то деле не что иное, как особым образом организованная рефлексия, если мы говорим о человеческой, социальной деятельности. И коммуникация, то есть речь, есть тоже не что иное, как особым образом организованная рефлексия. Таким образом, я намечаю здесь несколько линий анализа всего этого, о которых я сейчас скажу.
 
Но главное пока что для меня – рефлексия: с одной стороны, как таковая, чистая рефлексия, а с другой стороны, формы организации этой рефлексии. И эти формы организации будут отличать типы, виды рефлексивной работы друг от друга, а вместе с тем будут задавать речь коммуникацию и, соответственно, понимание, герменевтику, и дальше, соответственно, мышление как таковое, мыслительную деятельность, деятельность. Вот что мне очень важно. Поэтому, описывая те или иные формы организации [рефлексии], я одновременно буду осуществлять переработку рефлексии в речь язык, мысль мышление и, соответственно, в деятельность. Здесь несколько замечаний. Во первых, очень интересно само понятие «чистое». «Чистая рефлексия» – что это значит? Тут уже приходится возвращаться к кантовским и даже докантовским основным понятиям. «Критика чистого разума»… В чем, собственно, состоял смысл этой абстракции «чистого»? Что хотел сделать Иммануил Кант, когда он так резко разделял и противопоставлял друг другу «чистый разум» и не «чистый разум»?
Мне то представляется, что это и есть, говоря нашим, современным языком, как бы разделение процессов носителей и форм их организации. Когда мы говорим «чистая рефлексия», то мы хотим понять, что это такое на уровне материала. Но поскольку рефлексия не есть материал, а есть, по видимому, процессы (какие то очень странные) вроде материала, значит, это есть процессы материал, или процессы носители – носители особых форм организации. И поэтому, когда мы говорим о «чистой рефлексии», мы, по видимому, хотим выделить эти процессы носители. Кстати, эта абстракция нужна всюду. Скажем, когда Л.С.Выготский различал натуральные процессы психики и искусственные процессы, которые возникают за счет того, что мы включаем знак и таким образом овладеваем своими натуральными, естественными процессами, то он имел в виду эту самую абстракцию. А поскольку мы имеем дело с историческими образованиями, постольку мы, по видимому, без нее вообще не можем сделать ни шагу. Я мог бы дальше еще развить эту тему – она сама по себе очень интересная. Только замечу, что все те, кто критикует Выготского за якобы сведение таким образом психики к физиологизму, к физиологии, в частности его ученики Леонтьев, Зинченко старший, Гальперин, просто расписываются в том, что они ничего не понимают здесь в природе объекта и в методах, которые необходимы для того, чтобы такого рода объекты анализировать. Когда Выготский говорил о «натуральных процессах», он совсем не имел в виду физиологию – он осуществлял эту необходимую абстракцию.
Какую абстракцию? Ту самую, которую историк производит, когда он делит историю на ту, которая была до Рождества Христова и после Рождества Христова. А главное, он же не может поступить иначе. Он должен на этой линии хронологического, или собственно эволюционно исторического, движения поставить посредине точку.
Эта точка может сдвигаться вперед или назад, но вы ничего не можете сделать без точки, не можете начать исследование… И точно так же психолог, который начинает изучать психику ребенка, или его мыслительные процессы, или еще что то, всегда должен поставить эту точку. Эта точка очень четко отделяет то, что он будет рассматривать как натуральное, то есть как не формируемое, а само собой сложившееся… А вот как вы потом будете трактовать это «до» – как природные задатки, как от природы данные способности, склонности и еще как то, – это все уже фуфло и не имеет к научному и вообще к мыслительному анализу никакого отношения. Это все уже бытовые рассуждения на уровне – надо ли «класть Бриану палец в рот» или не надо(34).
Теперь второе замечание. Поскольку мне нужно разделить чистую рефлексию и организованную рефлексию, то есть формы организации [рефлексии], которые приходят откуда то, совсем с другой стороны, постольку мне приходиться пользоваться этой схемой пространства (см. рис. 4). Это очень важно. Я ведь должен задать как бы соцелостность этого, стянуть воедино. А как мне на уровне метаметодологического рассуждения это показать?
Рефлексия каждого из нас делает это очень просто: она что то выбирает и что то стягивает. И поскольку она что то стянула и соорганизовала, она задала в данном случае функционарную соцелостность. А мне же надо перейти на уровень всеобщности. Я хотя и работаю конкретно, но ведь работаю с категорией неопределенности, строю это рассуждение не по поводу сидящих здесь людей и не описываю в исследовательской модальности что то происшедшее, фактическое, – я строю пространство. То есть фактически я создаю набор средств и общую онтологию – так же, как это делали и Архимед, и Ньютон, и другие. Тут совершенно одинаковая логика и одинаковые законы. Но ведь мне это нужно онтологически каким то образом задать. И как я это могу задать? За счет того, что я кладу всё. На первом и втором докладах в этом плане было несколько очень интересных и характерных реплик. Да, действительно, я кладу всё, но это не означает, что очерчиваю. А вот как я дальше буду трактовать это пространство – это уже другой вопрос.
А где находится это пространство?
Пространство – по сути понятия пространства – находится нигде. Все остальное находится в нем. Но ведь вы же задаете свой вопрос в натуральной модальности. Вы туда глядите – «во двор» – и спрашиваете: где? Кант отвечал: пространство есть априорная эстетическая форма. И он в этом смысле был прав. Но мы же это трактуем совершенно иначе. Я ведь рисую не пространство, а схему пространства. Если вы меня спросите, где находится схема пространства, я отвечу: на доске.
А где находится пространство, которое я мыслю? Но для ответа на этот вопрос надо понимать принципы интенциональных отношений рефлексии: если мы рассматриваем это как онтологическое образование – тогда глядите и упирайтесь в него (потому что объект есть то, во что мы упираемся, пространство как объективное есть то, во что мы упираемся), либо мы хотим это рассматривать как знак – тогда откройте эту «калитку» и проходите через нее дальше. А куда вы пройдете – это зависит от испорченности вашей рефлексии, ваших интенций – куда сможете, туда и пройдете, вплоть до объективности. Вы можете это делать сколько угодно. И, кстати, ведь вы опять задаете вопрос в логике превращенных форм. Вы спрашиваете меня: что такое пространство? А я вам отвечаю: не задавайте вопросов, что есть пространство, время и т.д. Смотрите, что мы делаем, когда мы вводим эти понятия и ими пользуемся. [Посмотрите на] ход, который предложил в отношении времени Эйнштейн и построил новую космологию. Вы можете ее строить на каждом шагу.
Вопрос (неразборчиво).
Я же должен свою рефлексию организовать. Когда она организуется сама, тогда не возникает вопроса, как мне ее организовать… Я поглядел налево, мое внимание привлек какой то человек, я не могу от него оторваться. И моя рефлексия устремлена туда – в него. Я уже просто ничего не вижу кругом. Но представьте себе, что у меня свободное рефлексивное движение: я свободен и могу двигаться как хочу. И вот тогда я рисую пространство. Я же должен себе его задать, поскольку я должен организовать свою рефлексию.
Что делает, скажем, начинающий йог, отрабатывающий первые процедуры? Он должен после каждого периода своей работы поднять руку и что то сказать. Что он делает таким образом? Он создает время. Он организует свою деятельность, создавая время. Но точно так же каждый из нас в процессе рефлексии должен создавать пространство. И по отношению к моей рефлексии пространство есть такая форма – замыкание, ограничение моего сознания и моей работы, – которая дает мне возможность рассматривать чистую, то есть неорганизованную рефлексию. Этот же вопрос надо просмотреть у Локка и Канта: как у них было с пространством и рефлексией? И, кстати, а что такое эстетика? Может быть, это все уже было сотворено и поэтому нужно просто это воспроизвести в новой терминологии? Что есть кантовская «чувственность»? Вполне возможно, что это и есть рефлексия. Я бы хотел посмотреть, не перепутали ли Джон Локк и Иммануил Кант рефлексию с восприятием. А может быть, они и не перепутали, а перепутали позднее психологи? И надо посмотреть, что там произошло вообще с отношением между рефлексией, восприятием и т.д. Но я хотел бы к этому вернуться позднее, а пока лишь ставлю вопрос.
 
И последнее, очень важное замечание. Фактически, то, что я сейчас наметил, означает, что исходное программное утверждение наших работ 1952–1960 годов было неверным. Тогда мы утверждали, что мышление есть деятельность, особая форма деятельности. А это неверно. Мышление не есть деятельность. Мышление есть особым образом организованная рефлексия: не из деятельности растет мышление, а из рефлексии, за счет особой организации рефлексии. Мышление и деятельность в этом плане есть разные формы организации рефлексии, как я только что сказал.
Тут, правда, есть несколько тонкостей, которые я сейчас намечу… Но вы должны представлять себе основную линию движения нашей истории. Мы начинали в 1952 году с анализа мышления как процессов и структур. И это продолжалось до 1961 года. С 1961–1962 года начался деятельностный период, и он продолжался где то до 1971–1972 года. И перелом то наступил как раз в связи с обсуждением проблем методологической работы, методологического мышления и т.д. Мы вновь возвращаемся к проблемам мышления.
На первом этапе понятие деятельности было объяснительным принципом: это была категория, через которую объясняли мышление. Сказать, что мышление – это деятельность, означало поместить мышление в определенное пространство.
Потом началось исследование самой деятельности, но тогда мышление просто рассматривалось как вариант деятельности – как мыслительная деятельность. И лишь где то с 1972 года начинает формироваться понимание того, что мышление не есть деятельность, ибо это есть принципиально иная форма организации. И начинается дуалистический период.
Обратите внимание, как сложно у меня все это подается, в том числе и эти утверждения и эти рассуждения. Ведь если я сказал, что рефлексия представляет собой очень сложное образование – мы разделяем чистую рефлексию и организованную рефлексию – и мышление есть не что иное, как определенная форма организации рефлексии, то мы должны рассматривать, с одной стороны, саму рефлексию, как бы эту субстанцию, а с другой – организующие ее формы. И мышление начинается тогда, когда на рефлексию ложатся эти специфические мыслительные формы.
Но они не могли возникнуть в самой рефлексии. Они приходят откуда то со стороны. И поэтому те проблемы, которые обсуждались где то в 1956–1959 годах, и привели к особой, очень интересной, на мой взгляд, трактовке самой истории.
Анализ шел на примере материала и функции… Мы можем взять материал и организующую его форму или структуру. Это ничего не меняет. Есть момент происхождения сложного искусственно естественного образования, затем есть, соответственно, линии до истории и предыстории, где, скажем, в до истории, существуют чистые до организационные формы – сами по себе и на другом материале, а предыстория – этот материал как таковой (см. рис. 9а).
Происходит сложное возникновение, или происхождение, где функции материала, организационная форма материала и материал соединяются. Но тогда это означает, что здесь где то происходит соединение, по сути дела, двух процессов, которые опять потом могут разойтись, потом опять могут соединиться, а в стык этих процессов могут приходить какие то другие, дополнительные образования (см. рис. 9б).
  Рис.9а Рис.9б  
 
PRISS-laboratory/ Виталий СААКОВ/ библиотека// Щедровицкий Г.П. На перекрестке мысли: введение в системомыследеятельностный подход/// Есть момент происхождения сложного искусственно естественного образования, затем есть, соответственно, линии до истории и предыстории, где, скажем, в до истории, существуют чистые до организационные формы – сами по себе и на другом материале, а предыстория – этот материал как таковой (см. рис. 9а).
© Г.П.Щедровицкий, 1979
PRISS-laboratory/ Виталий СААКОВ/ библиотека// Щедровицкий Г.П. На перекрестке мысли: введение в системомыследеятельностный подход/// Происходит сложное возникновение, или происхождение, где функции материала, организационная форма материала и материал соединяются. Но тогда это означает, что здесь где то происходит соединение, по сути дела, двух процессов, которые опять потом могут разойтись, потом опять могут соединиться, а в стык этих процессов могут приходить какие то другие, дополнительные образования (см. рис. 9б).
© Г.П.Щедровицкий, 1979
 
Поэтому, как только вы берете такое образование как мышление, вы фактически не можете однозначно ответить на вопрос «из чего оно происходит?». Ибо оно просто «происходит». И происходит оно и из одного, и из другого, а может быть, и из третьего, и из четвертого… Все зависит от того, на чем вы центрируетесь в этом «склеенном» образовании. И в зависимости от того, на чем вы центрировались, вы получаете совершенно разные трактовки генезиса и происхождения. Оказывается, что в самой эволюции мы имеем одновременно как бы онтогенетическую историю и филогенетический процесс – все зависит от того, какой цикл мы берем. Потому что ведь культура и люди как носители культуры непрерывно соединяются и разъединяются, и за счет этой пульсации возникает очень интересный момент… Как следует рассматривать эволюцию всего этого в онтогенетическом порядке? Вот имеется рефлексия – неорганизованная, слабоорганизованная, в пределе – чистая… Она начинает захватывать определенные структуры, захватывает их, как бы внедряется в них, и они становятся ее, и они ее организуют. Вот я обратился к этому пространству (см. рис. 4), к его блокам, захватил в рефлексии блок и начинаю тащить этот блок… Теперь он – внутри рефлексии, и он же организует рефлексивные процессы. Рефлексия организуется, и все то, что есть и развивается дальше, есть не что иное, как развитое мышление. Теперь оно захватило иные структуры, и оно развивает все время само себя за счет этих захватов. Оно все время увеличивает свою мощь, присоединяя себе эти структуры. Но для этого каждый раз эти структуры должны браться как преднайденные для рефлексии, и все зависит от того, сколько она захватит и что с чем она соотнесет. Мышление рождается из рефлексии за счет того, что рефлексия захватывает некие структуры, которые ее же потом и организуют. И это – одна линия.
Но вы ведь можете взять совсем другой цикл и задать вопрос: а откуда взялись эти структуры? А их рождает мыслительная деятельность, но рождает в своей уже деятельностной, продуктивной функции. И в этом смысле я могу сказать, что мышление порождается деятельностью, но, обратите внимание, не в естественно научном смысле – что, дескать, из мыслительной деятельности или из деятельности «растет» мышление, – а именно в искусственном, техническом смысле: мыслительная деятельность и деятельность творят мышление как свой продукт целенаправленно, нормирующим образом, иногда только факультативно.
Вопрос (неразборчиво).
Я ведь говорю все время прямо противоположное: рефлексия, мышление, деятельность суть сложные, многопластные искусственно естественные образования. Когда вы берете такие многопластные образования типа материал функция, материал организация, материал структура и т.д., то вы не можете здесь тащить одну генетическую линию и говорить «рефлексия самоорганизуется». Да, разумеется, рефлексия самоорганизуется, когда вы берете онтогенетический срез всего дела – в том смысле, что моя рефлексия самоорганизуется… В том смысле, что мы развиваемся, если нам повезло с коллективом, с друзьями и прочее и если есть что взять… Если вы можете взять высокоорганизованные структуры, утащить их где то, усвоить их, тогда ваша рефлексия самоорганизуется. Если вы еще, кроме того, достаточно открыты, не догматик, вас что то там не устраивает, вы все время суетитесь, у вас есть соответствующая тревожность, напряженность – вы вообще «псих ненормальный», – вот тогда у вас рефлексия самоорганизуется. Но кто то ведь должен был вам дать эти организующие вас структуры.
А почему «дать»?
Потому что рефлексия ничего не может сделать. Она отражает, и ничего больше… Она отражает все, на что направляется, а все, что есть, то она и отражает. А если вы теперь берете мышление как таковое и спрашиваете «а как же оно развивается?», то ответ будет таким: оно развивается за счет целенаправленной, продуктивной мыслительной деятельности по созданию форм организации мышления. То есть его все время кто то делает. И это очень четко показано на схеме воспроизводства(35). Целенаправленная мыслительная деятельность на предыдущем шаге делает такие конструкции, такие формы организации, которые потом рефлексия захватывает и себя таким образом организует.
Ильясов: А мышление может двигаться независимо от того, захватывает там что то рефлексия или нет?
Но, обратите внимание, мышление никогда не развивается. Мышление как мыслительная деятельность продуцирует, но не развивается. Чтобы мышление развивалось, обязательно нужно, чтобы оно все время умирало, чтобы его материал от него отделялся и потом вновь все это сплавлялось, но уже по новому. Что происходит? Рефлексия вбирает в себя, по новому организуется и за счет этого развивается как рефлексия, саморазвивается, если есть соответствующие структуры.
Потом она, как оболочка, должна «лопнуть», все должно «вытечь», человек должен «помереть». Рефлексия его должна переместиться, структуры, которые он производил в ходе развития своей рефлексии, ее самоорганизации и развития, то есть в ходе продуктивной деятельности мышления, должны остаться и как бы «лежать» и должны теперь быть втянуты другой рефлексией и стянуты ею. И тогда получится новая организация рефлексии, которая будет порождать другое. А та рефлексия, которая реализует себя в мыслительной деятельности, порождает старые догматические продукты. Как уважающий себя доцент где то к 32 годам расписал себе все лекционные тетрадки, так он дальше и будет приходить с ними и читать еще 25 лет те же лекции, без единой новой мысли. И его студенты в своей рефлексии будут получать только то, что уже было 25 лет назад, и ничего больше. Тут нужна другая рефлексия – чтобы она все собрала. Вот что мне очень важно.
Анисимов: Правильно ли я понял, что своеобразие критики Выготского Леонтьевым и другими связано с тем, что они практически не входили в пространство рефлексии Выготского и поэтому не могли там выделять чистое и организованное?..
Они просто не понимали, какого рода проблемы обсуждал Выготский и как он это делал, ибо его мышление было им просто недоступно.
Анисимов: Жанр работы Выготского был для них недоступен, они не могли войти в него, а отсюда они обращались к тому, что могли брать?
Вы все правильно говорите, но не то… Выготский мыслил другими тематизмами. Он был методолог, и поэтому ему важны были схемы абстракций. Он творил психологическую действительность за счет рефлексии форм своего мышления: он мыслил, работал, «снимал» формы своего мышления и полагал их как предметы. Эти предметы для других выступали как превращенные формы. Они брали эти предметы…
Тюков: Брать то этого они не могли. Они ставили эксперименты, и делали это непосредственно на детях. Они брали не чистые натуральные функции, а детей. И получается физиологизм.
Они перетаскивали эти превращенные формы в свою лабораторию принципиально другого по стилю мышления.
 
Анисимов: Им надо было превращение еще делать…
Нет, на превращение они были неспособны. Если бы они могли превращать, они бы творили. Они ничего превращать не могли. Они брали эти предметы, которые он сотворил, тащили их в другие производства и начинали там приспосабливать к своим нуждам, к другой работе.
Анисимов: То есть организованности они брали.
Правильно. А что такое превращенные формы? Превращенные формы есть результат этого переноса, когда то, что было рефлексией деятельности – и как рефлексия деятельности совсем не было превращенной формой, – перетаскивается в другую деятельность и там начинает обсуждаться, обговариваться, интерпретироваться, истолковываться не в отношении к деятельности, которую осуществлял Выготский, а по отношению к детям, как говорит Анатолий Александрович [Тюков], вообще к чему то другому…
Вот возьмите эту шикарнейшую вещь Стругацких(36)… Осуществляется «нуль транспортировка». Есть планета, через которую скачут какие то сложные машины. Живет там цивилизация, которая не знает, что это за машины. Но у них есть свои «зеки», которые все время должны спасать свою жизнь тем, что они залезают в эти машины, нажимают на какие то кнопки, рулят, и они должны их вытащить из этого потока «нуль транспортировки», стащить их на другую территорию и найти способ приспособить в этом хозяйстве. Иногда эти машины взрывались, иногда ломались, иногда вдруг – не поймешь почему – начинали пахать. Было совершенно непонятно, что и как… Здесь происходит то же самое. Вот у Выготского есть своя «кухня», он живет в своем пространстве методологической работы, работает, рефлектирует, творит эти понятия, представления… Их перетаскивают в совершенно другую «кухню» и начинают с ними мыкаться… Туда, сюда… И тогда появляется идея, что Выготский – физиологист и что это нехорошо.
Ильясов: Когда говорят о пространстве, то употребляют этот термин в физическом смысле. И это считается точным употреблением понятия пространства. А когда говорят о пространстве рефлексии, пространстве мышления, то, в общем, принято считать, что это фигуральные выражения и ничего общего между пространством рефлексии, пространством мышления и пространством физического мира нет. У вас сближение этих вещей.
С моей точки зрения, подлинным является только один смысл, а именно: пространство мышления. Я утверждаю, что и архимедово пространство, и демокритово пространство, и ньютоновское пространство, и гильбертово пространство, и пространство Минковского – все суть пространства рефлексии и мышления. И никакими другими они не могли быть.
А когда в условиях однопорядкового, догматического мышления социально фиксируется определенный тип мышления как нормальный, то пространство этого мышления становится пространством мира жизни. И поэтому в какой то момент пространство мышления физиков механиков становится пространством жизни всей данной общности людей. Поэтому когда говорят про пространство, то это – фигуральное выражение.
Ильясов: Пространство физиков?
Не физиков, а обывателей.
Ильясов: А я про физиков спрашиваю.
Физики то должны онтологизировать. И в рамках своей предметной работы это правильная процедура. Но затем их предметы становятся предметами социального и бытового мышления.
Ильясов: Но я то говорю не про бытовое мышление, а про мышление физиков.
С физиками очень сложно. Я поэтому и говорю, что читать их надо. Откуда вы знаете, как мыслили физики?
Чернов (неразборчиво).
Это у вас звучит таким образом, потому что у нас с вами совершенно разные структуры мышления. И то, что я говорю, вы понимаете совершенно превратно. Это есть перетаскивание этих превращенных форм. Потому что вы не знакомы с тем переворотом в философии и науки, который произвел Карл Маркс. «Ошибка всего предшествующего материализма, включая фейербаховский, – сказал он, – состояла в том, что они рассматривали объект как объект созерцания, а не как предмет практической чувственной деятельности»(37). Этот тезис означает, что все натуральные науки – физика и т.д. – не имеют права на существование, с точки зрения Маркса. Это же надо понять – то, что он говорит. Но так как, если вдумываться в то, что он сказал, оттуда следуют такие страшные вещи, то лучше не вдумываться. Так рассуждают все. Поэтому натурализм продолжает спокойно существовать, двигаться дальше.
Я не против того, чтобы это все существовало. На своем месте оно нужно. Но надо же теперь понять, что происходит, что куда относится и как. Моя точка зрения состоит в том, что пространство, созданное мыслью и для организации мысли, затем оборачивается в план особых схем организации социальной кооперированной деятельности и становится объективным пространством. Ибо единственный объект сущего есть деятельность. И формы организации деятельности и есть объектосоздающие формы. О какой объективности вне деятельности и мышления вы говорите? Маркс же запретил это. Конечно, то, что он запретил, не лишает вас возможности об этом говорить. Говорите себе сколько угодно об этом. Вы говорите о натуральном объекте, который был очень хорошим и красивым у Френсиса Бэкона, но для того, чтобы продолжать все это, надо совершить обратный прыжок в 1650 год примерно. Вы будете там на самом острие мышления.
Можно ли так понимать, что рассмотрение деятельности как единственной реальности есть последовательное проведение отказа от удвоения мира?
Я бы сказал «да», но потом бы все перевернул и сказал бы: но мир то надо удваивать, утраивать, учетверять… Нам сейчас нужны множественные миры. Мы должны в этих множественных мирах жить. Только мы каждый раз должны знать, какие они.
У меня ведь двоякое отношение к любому объекту: я могу войти туда как в деятельность, а могу рассматривать это как предмет и превращенную действительность. Поэтому при решении любой предметной проблемы, задачи я буду вынимать и развертывать ортогональную организацию пространства, и у меня на одной плоскости будут структуры деятельности, в которые я вхожу и сообразно которым я организую процессы своей работы, а на другой – объекты моей работы и действительность. У меня будут два мира. Если нужно – три мира. И я буду все время работать в концепции многих знаний, но только они у меня теперь будут все соорганизованы. Поэтому это единое пространство жизнемысли, включающее и деятельность мышления, и жизнь естественных объектов, очень сложно организовано.
Итак, я продолжаю… Нам ведь нужно организовать процесс рефлексии, процесс рассуждения – то, как рефлексия выражает себя дальше. А я вроде бы пока что организую статическое пространство – то, во что эти процессы, как бы они ни осуществлялись, упираются. Причем мы все время говорим – и при различении объектов и знаков, – что это то, во что наша рефлексия упирается.
Я характеризовал рефлексию пока в форме образа – как, скажем, движение поверх этих образований, как движение внутри этих образований и как движение этих образований. Рефлексия как бы может перетаскивать их, передвигать с места на место. И при этом происходит одна очень интересная вещь… Мы все время говорим об интенциональных отношениях и подразумеваем их, а формально говорим о процессах. Реально, по способу работы, я все время демонстрирую некоторую интенциональность. И в этом смысл идеи пространства. Так я трактую объекты и знаки. Я говорю: знак – это «калитка», в которую мы упираемся, потом открываем и проходим дальше. И это каждый раз осуществляется за счет интенции. Но при этом я же должен двигаться, и у меня должен быть процесс рассуждения. Я, следовательно, иду поверх чего то, перехожу от одного к другому. Внешне рассуждение выглядит как движение от одного к другому, как комбинирование, нанизывание одного и другого, присоединение, подмены, подстановки и т.д., то есть как оперирование некоторыми как бы вещными образованиями, – не важно, говорим ли мы прямо о знаке или о том, что за знаком стоит. И так, собственно, на основе этих представлений построены традиционные логические концепции – скажем, умозаключения, вывода и т.д.
 
Они никогда не вырываются за пределы этой трактовки и не могут вырваться, поскольку интенции пока что неисчислимы.
Кстати, Фреге ведь пытался построить исчисление понятий, учитывающее интенции. Очень интересно посмотреть, что у него там действительно получилось. Есть большие традиции – Брентано, Больцано, Мейнонга, – но это все остается сейчас практически за пределами нашей философии и мышления, фактически не включено в нашу рефлексию и культуру. Это то, что мы не зацепили. Кстати, как и феноменологию Гуссерля. Но я хочу в рамках обсуждения вопроса о рефлексии попробовать затронуть эту тему, которая теперь формулируется так: а как же нам соотнести и сопоставить друг с другом понятия интенции, интенциональности и процесса, процессуальности? Если мы начинаем говорить о рефлексии, то мы должны прежде всего ответить на вопрос, что мы имеем в виду…
И эти по крайней мере два момента – интенциональность и процессуальность – естественно выдвигаются на передний план, буквально кричат о себе при каждом шаге наших обсуждений. Но что это значит? И как можно вообще схватывать интенциональность, процессуальность? Какие у нас есть модели рефлексии? Вопрос этот весьма сложен, и для того, чтобы понятно было все то, что я дальше буду обсуждать, я сформулирую сразу основные мысли. Мы можем рассматривать рефлексию, вынося за скобки сознание и его работу – как механизм, обеспечивающий рефлексию, но не существенный для понимания самой ее природы. И можем, наоборот, обращаться к сознанию и учитывать его тоже как механизм, но как определяющий структуру самой рефлексии. До последнего времени я всегда стремился убрать этот механизм, и я не оставляю этой мысли до сих пор, но я хочу теперь сначала использовать, а убрать потом. Для этого мне нужна идея трансляции.

Сознание не производит новых образований. Оно не творческое. Оно ничего вообще не порождает. Если мы будем рассматривать это как ретранслятор, то оказывается, что можно объяснить все красивее, чем это было до сих пор. Ведь что такое рефлексия? Рефлексия, как она определяется в энциклопедиях – это поворот сознания с одного на другое. С другой стороны, рефлексия есть фактически стягивание, движение сопоставления одного и другого. А можно ли совместить эти два момента? Я говорю: да. Представьте себе, что вы имеете экран, который может поворачиваться (см. рис. 10). И когда он повернут вот так, он высвечивает здесь какое то образование. А потом он поворачивается, и вот этот лучик (представим себе, что он исходит из центра экрана и закреплен перпендикулярно к нему) высвечивает какое то другое явление. И, соответственно, этот экран, во первых, отражает (в точном смысле слова «рефлексия»), во вторых, интенционирует, или интендирует, полагает…
  Рис 10 Рис 11
 
PRISS-laboratory/ Виталий СААКОВ/ библиотека// Щедровицкий Г.П. На перекрестке мысли: введение в системомыследеятельностный подход/// Рефлексия, как она определяется в энциклопедиях – это поворот сознания с одного на другое. С другой стороны, рефлексия есть фактически стягивание, движение сопоставления одного и другого. А можно ли совместить эти два момента? Я говорю: да. Представьте себе, что вы имеете экран, который может поворачиваться (см. рис. 10).
© Г.П.Щедровицкий, 1979
PRISS-laboratory/ Виталий СААКОВ/ библиотека// Щедровицкий Г.П. На перекрестке мысли: введение в системомыследеятельностный подход/// В феноменальном плане происходит смена образований, хотя нет никаких переходов, никакой трансформации, а есть фиксация с соответствующими перебросами. Представьте себе, что у вас здесь имеется экран, на который вы все высвечиваете (кстати, механизм уже совсем близкий к работе рефлексии) (см. рис. 11).
© Г.П.Щедровицкий, 1979
И теперь давайте это обсуждать. Практически я сейчас реализую схему многих отражающих зеркал Владимира Лефевра. Мне только нужны не самоотражающиеся зеркала (Лефевр фиксировал феноменологию процессов рефлексии), а мне нужно зеркало с особой функцией. И, собственно, роль этого зеркала с особой функцией и могло бы выполнять сознание. Это сознание все время поворачивается, а отношение отражения и интендирования является одним – двусторонним – отношением, хотя оно потом может растягиваться в два… Вот я повернулся в левый угол и отразил то, что есть там, теперь я повернулся в правый угол, и то, что было там, у меня исчезло, и я отражаю нечто другое. Теперь наделите еще это вращающееся зеркало, или экран, функцией проецировать, или переносить с одного на другое. Представьте себе, что у вас есть еще блок накопитель, блок памяти, куда все время складываются копии и могут оттуда извлекаться.
Тюков: То есть это не гербартовская «масса»?
Отнюдь. Это – чистое зеркало, вращающийся экран. И он снимает и отбрасывает, снова снимает и снова отбрасывает. Он все время перебрасывает эти образы. Кроме этого, чтобы сделать это уже совсем правдоподобным и соответствующим работе восприятия и представления, введите сюда, что отраженный образ с этого экрана после каждого такта стирается. И, кстати, все это так у нас, по видимому, и устроено…
Итак, что же происходит? Представьте себе, что перед нами, перед наблюдателем, вот так работает этот механизм. Внешне он выглядит как переброс от А к В, от В к С и т.д. И поэтому в ответ на вопрос о том, что здесь происходит, мы говорим: ясно, что у нас, на нашем табло сознания, последовательно высвечивается сначала А, потом появляется В, потом появляется С, и у нас идет процесс трансформации одного в другое. Но нет никаких процессов. Я фактически задаю такую модель, которая для наблюдателя как бы имитирует процесс, а на самом деле никаких процессов не имеет начисто. Ведь я же ее так устроил. При этом весь механизм делает следующее: он с одного экрана нечто забирает, отражает на себя, перебрасывает на другой экран, после этого стирает образ или отправляет его в долговременную память.
Ильясов: Между прочим, это все называется процессом – «перебрасывание» и прочее.
Здесь нет процессов. Это я вам строю модельку с перебросами. Я могу строить без перебросов: ничего не отражаю, имею палочку такую – на конце кисточка с черной краской… Подошел, мазнул Анатолия Александровича. Потом подошел к другому и снова мазнул. Тем самым их отметил и соотнес.
Ильясов
: Процесс: подошел, мазнул, соотнес, отметил…
Ну да. Но это все слова. Я не знаю, как вам описать это все в других словах. Но там нет этого. Это не имеет никакого отношения к тому, что мы обсуждаем.
Тюков: Ислам Имранович, сейчас говорится о механизме. И можно говорить о механизме, вычленять там свои процессы. Но это не интересно. Ведь обсуждается отношение процесса и интенции. И обсуждается это на объекте рефлексии. И, кстати, все это – одна проблема: описать действительность рефлексии без сознания. И сейчас Георгий Петрович строит эту модель. Мы три года с ним дискутируем на эту тему. Я говорю, что без морфологии сознания нельзя представить рефлексию. Она должна быть обязательно сочленена с ней. Этот образ зеркала вроде бы позволяет освободиться, во первых, от «массы впечатлений» – в смысле гербартовской «массы впечатлений», которая влияет на процесс рефлексии и, соответственно, в этом смысле на интенции, во вторых, освободиться от телеологической морфологии всех объектов и проекций психологической ерунды… И тогда получается, что чистая рефлексия есть не что иное, как такое прямое отражение, появляющееся как превращенная форма исключительно для наблюдателя и для того непосредственного сознания, о котором говорила классическая психология.
Анисимов:
Для «тупого» зеркала.
Правильно. Для «тупого» зеркала, которое возомнило себя личностью… Итак, что получается? В феноменальном плане происходит смена образований, хотя нет никаких переходов, никакой трансформации, а есть фиксация с соответствующими перебросами. Представьте себе, что у вас здесь имеется экран, на который вы все высвечиваете (кстати, механизм уже совсем близкий к работе рефлексии) (см. рис. 11).
 
Что происходит? Повернулись к В, отобрали, оставили, перебросили на экране. Повернулись к С, перебросили, оставили. Снова повернулись – оставили здесь С, потом D и т.д., каждый раз фиксируя как в речевой цепочке. И тогда у вас для наблюдателя все дело выглядит как последовательное накидывание этих образований, как переход от одного к другому, как линейный процесс. И поскольку этот наблюдатель не знает механизма работы, он полагает, что и в сознании точно так же последовательно высвечивается А, идет переход к В, С и т.д.
Тюков: Более того, он начинает искать причины последовательности самих этих содержаний.
Совершенно верно… Которые могут, кстати, принадлежать разным экранам и жить вообще по разной логике, ибо в организации этого как последовательности первоначально не заключено вообще никакой логики. Это есть чистое сканирующее движение этого зеркала. Оно может рыскать где угодно и высвечивать все что угодно. Проблема порядка и логики возникает тогда, когда мы перейдем к проблемам организации рефлексии. Вот что мне очень важно. Поэтому легко понять, как возникают ложные представления о работе сознания. Легко понять, почему становится необходимой эта морфология. А что я делаю в том случае, когда зеркало сознания не упирается ни в один из экранов и ничего не отражает?
Если, к примеру, идет работа последовательного нанизывания текста в цепочки (или вообще такого линейного движения на верхнем экране) и это зеркало сознания повернулось куда то и ни во что не уперлось и ничего не отражает, то оно может забирать из блока долговременной памяти любой образ и высвечивать его за счет полагания. То есть уже не важно, откуда брать – из непосредственного восприятия или из памяти…
Анисимов
: Вы имеете в виду удерживание этих образований, которые нанизываются? Тогда нужна какая то новая операция – удерживания…
Олег, я, конечно, наказан за свою торопливость. Я пропустил два куска, которые должен был предварительно отыграть, прежде чем перейти к рефлексии. Но мне казалось, что я не укладываюсь во времени, и я их пропустил. Это действительно создает превратную точку зрения. Я должен сейчас вернуться, проговорить это все, и потом мы снова это будем обсуждать.
Итак, что я начал говорить, но не продолжил? У меня есть субстанция рефлексии, которая «плавает» над пространством… В этом пространстве положен ее материал, и теперь я должен сказать, во что рефлексия упирается. В этом пространстве рефлексии положена масса этих экранов. Ведь только здесь, на схеме механизма, я их положил как стоящие, по отношению к которым сознание поворачивается. Но сейчас мне не нужно зеркало сознания – у меня есть масса экранов, на которых заложено определенное содержимое, определенные структуры, и рефлексия идет как бы поверх них, в них, двигает их, что то с ними делает и т.д. И если я беру чистую рефлексию, эти процессы не могут быть никак описаны, ибо реально никаких процессов, как я старался показать, вообще нет, а есть только имитация процесса за счет вот такой странной работы…
Что я говорю дальше? Ведь эта схема организации пространства рефлексии (см. рис. 4. (см. рис. 4) для меня только шаг.И я не случайно называл это пространством рефлексии, мышления и деятельности. Для того чтобы рефлексия стала чем то, она должна быть организована. И она начинает организовываться по трем принципиально разным направлениям, или формами трех принципиально разных типов, а именно: формами коммуникативными (речь язык с его значениями), формами собственно мыслительными (понятия, категории) и формами специфически деятельностными (например, образцы, эталоны, нормы, правила, приемы, способы и т.д.).
Я получаю три направления, как бы три основных вектора, по которым идет развертывание форм, организующих рефлексию (см. рис. 12). При этом я могу говорить о них как о векторах на схеме, не вплетая сюда генетического и эволюционного анализа. Потому что если я попробую рассматривать их эволюционно генетически, то я должен буду учитывать темпы развития по каждому вектору, взаимные рефлексивные отображения одного вектора на другой, и будут идти разные линии, характеризующие историческую эволюцию рефлексии в речь язык, в мысль мышление и в деятельность. То есть это пространство начинает как бы доорганизовываться все время вверх – в третьем измерении по отношению к этому пространству – за счет того, что в деятельности порождаются все новые и новые формы организации, все новые и новые логики, новые онтологии, новые типы формализации, категоризации и т.д. И все это движение идет вверх.


  Рис 12  
 
PRISS-laboratory/ Виталий СААКОВ/ библиотека// Щедровицкий Г.П. На перекрестке мысли: введение в системомыследеятельностный подход/// Для того чтобы рефлексия стала чем то, она должна быть организована. И она начинает организовываться по трем принципиально разным направлениям, или формами трех принципиально разных типов, а именно: формами коммуникативными (речь язык с его значениями), формами собственно мыслительными (понятия, категории) и формами специфически деятельностными (например, образцы, эталоны, нормы, правила, приемы, способы и т.д.).
© Г.П.Щедровицкий, 1979
 
 
Но что это означает? Это означает, что это последовательное высвечивание за счет интенций каких то единиц, образований начинает подчиняться этим, Олег, всегда линейным процессам, или структурно организованным процессам внешнего выражения рефлексии.
Анисимов: Фактически, эти составляющие – это модуляторы этого устройства.
Совершенно верно. Это три основных модулятора, которые и превращают интенциональные скачки в некоторые правилосообразные процессы. Но каждый раз это правилосообразные процессы по логике той из этих трех названных действительностей (или промежуточных между ними), которую мы рассматриваем. То есть если моя цель состоит в том, чтобы построить дидактически выдержанный доклад с передачей каких то вещей, то есть построить соответствующий текст, то я начинаю организовывать работу моего сознания как такого зеркала и мою рефлексию… А смысл ведь всего дела состоит в том, что я поворачиваюсь к одному экрану, выхватываю оттуда что то и перебрасываю в этот текст как его фрагмент. Потом я поворачиваюсь к другому экрану, выхватываю его содержимое оттуда, выкладываю сюда как другую часть. Потом я возвращаюсь назад, в следующую часть… Я могу соотносить эти одни экраны с другими и выхватывать что то между ними, какие то связки… Я могу, например, ставить задачу двигаться в единицах из одного экрана по связкам из другого экрана (скажем, лексическая организация и синтаксические правила грамматики). То есть я все время набираю из них разные образования и разворачиваю, удерживая соответствующий текст. И мне нужны правила организации такой структуры.
Что будет представлять собой предметная работа? У меня пять экранов, которые не замкнуты в одно целое – они лишь соцелостность. Есть экран эмпирического материала. Есть экран модели. Есть экран полагаемого реального бытия – объект, скажем, архитектура. И тогда я мыслю себе объект, называемый архитектурой, включающий все: композицию, форму, деятельность архитекторов и многое другое. И я каждый раз имею соответствующий верстак, на котором произвожу работу. А в чем состоит моя работа? Мне надо выстроить нечто на этом верстаке – проект, научные знания, изобретение или еще что то, – а для этого проделать определенную работу по логике этого верстака. Я беру соответствующие формы, соответствующие логики. Но при этом движущей силой является рефлексия, которая все время проделывает только одно: выхватывает и отбрасывает на верстак. Она ищет, сопоставляет, соотносит, отождествляет и т.д. И при этом за счет своей работы либо создает определенное функционирование структуры, либо реализует уже намеченные в этих логиках и соответствующих штампах функциональные структуры. Значит, при этом происходит непрерывная функциональная организация пространства рефлексии.
Но тогда я начинаю спрашивать себя: а что здесь относится к рефлексии? И к какой? Если к организованной, то это уже не рефлексия, а коммуникация с соответствующими организациями, мышление с соответствующими соорганизациями, деятельность… А если к чистой рефлексии, то что?
Ильясов: Крутящийся экран.
Тюков: Натуральные процессы.
Почему же «натуральные процессы»? Их нет. Процесса нет. А есть то, что условно может быть названо «интенциональным процессом». В кавычках потому, что это не процесс интенции и не процесс, характеризующий интенциональность…
Ильясов: Это процесс в интенции.
Нет, и не процесс в интенции. Это что такое? Это все время выборы – выборы и стягивания. А дальше – интересный ход – все то, что вы выбираете, надо организовывать в определенные структуры. На следующем шаге, когда это должно операционализироваться, формализоваться, онтологизироваться, категоризоваться и т.д., – а это шаг, каждый раз характеризующий какой то тип организации, – у вас будут либо возникать отношения отождествления, различения, сопоставления, сравнения и т.д., либо замещения, когда у вас одно выступает как форма презентации, то есть я одно представляю в другом… Как папуасы у Миклухо Маклая – увидев зеркало, они кричат: «Вода, вода!»(38). Либо я начинаю замещать знаковым выражением – выражать, обозначать и т.д. То есть за счет следующей рефлексии начинается, скажем так, функциональная соорганизация этих соотнесений. Но это внешне выглядит как соотнесение и стягивание, хотя я сам ничего не стягиваю, а просто перемещаю взгляд – интенцию свою двигаю. Ничего не стягивается. Но в результате этой странной вещи – поворота сознания – происходит где то на заднем фоне соотнесение, стягивание, отождествление и т.д. А реально то только крутится это сознание.
Но теперь все эти простейшие вещи – каждая акция внутри этих сложных структур – должны приобрести особый функциональный смысл, потом дополняться соответствующей морфологией. И эта морфология, Анатолий Александрович, есть не что иное, как идущее с верхних слоев рефлексия, от понятий понятийное заполнение функциональных структур. Знак есть объект, и, наоборот, объект, который обозначает, становится знаком. А уж дальше он может жить в своем материале – морфологии – по законам знаковости, а не по объективности, но только благодаря тому, что возникло соответствующее место в этой функциональной структуре, за счет функциональной организации рефлексии. И она начинает разворачиваться по горизонтали и по вертикали.
Но что мы обсуждаем, когда мы обсуждаем эту организацию? Не рефлексию, а мышление, коммуникацию, деятельность, рассуждение… Теперь я должен спросить: чем же детерминирована работа нашего сознания?
Чернов: Работа этих зеркал ведь не случайна, ведь что то должно направлять?..
Да. Это очень серьезный вопрос, но он уже относится к теме «рассуждение», а не к теме «рефлексия».
Чернов: Может быть, это мышление – то, что направляет?
Конечно. Но рассуждение – как первая форма мышления, в которой оно существовало. Пока мне важно было отделить рефлексию как процессы носители и задать их как таковые.
Анисимов: Но начало ответа вы сейчас только что дали, когда говорили, что на верстаке появляющееся определяет поворачивание…
Тут начинаются механизмы целеопределения, механизмы деятельности, мышления. Мой ответ звучал бы так: сознание человека не работает само по себе. Работает человек, который осуществляет либо деятельность, либо мышление. Чтобы ответить на вопрос, как работает этот механизм, я должен обращаться не к сознанию, а к деятельности и мышлению, ибо этот механизм работает по их законам, он их обеспечивает. А поэтому крутится так, как они заставляют.
– Свои содержания для рефлексии реальны или фиктивны, произвольны?
Я про рефлексию отвечаю следующим образом: это опять грань между рефлексией и мышлением… Рефлексия для меня есть чистое отражение, чистое подключение. Рефлексия не порождает своего собственного содержания. Больше того, для рефлексии не действует различие формы и содержания. У рефлексии нет формы, поскольку рефлексия как интенциональность есть чистая «упертость в».
Ильясов: Какое значение имеет подчеркивание того факта, что здесь нет процесса?
Не ищите процессов, не ищите законов этих процессов. Рефлексия не может быть предметом естественно научного анализа.
Ильясов: Но процесс же может быть искусственно построен.
Процесс – да, но рефлексия же не имеет процессов, и поэтому искать их там бесполезно.
Ильясов: И поэтому не может быть искусственно построена?
То, что будет искусственно построено, относится не к рефлексии, а к мышлению. Мышление имеет процессы, поскольку мы его таким образом сделали – чтобы оно их имело. А вот что такое процессы в мышлении, это особый разговор. Это – в пункте про рассуждение.

 
     
Сноски и примечания  
(21) - См. работу П. Тейяра де Шардена «Феномен человека» (Le Phénomène humain, (1955)). Есть русский перевод.  
(22) - См. [Щедровицкий, 1998]. (Примеч. ред.)  
(23) - См. [Педагогика и логика, 1993]. (Примеч. ред.)  
(24) - О схеме акта деятельности см. [Щедровицкий, 1975, с. 125–126]. (Примеч. ред.)  
(25) - Далее в стенограмме не пропечатана одна страница текста. (Примеч. ред.)  
(26) - Подробнее см. [Щедровицкий, Алексеев, Костеловский, 1960–1961]. (Примеч. ред.)  
(27) - См., например, [Щедровицкий, Ладенко, 1959]. (Примеч. ред.)  
(28) - …добавил Гегель и сказал, что не надо трех слов… – речь идет о принципе тождества (единства) логики, теории познания и онтологии, которую в своей философии реализовал Гегель. Сама же эта формулировка приписывается В.И.Ленину. Ср.: «Если Marx не оставил "Логики" (с большой буквы), то он оставил логику "Капитала". В "Капитале" применена к одной науке логика, диалектика и теория познания [не надо трех слов: это одно и то же] материализма, взявшего все ценное у Гегеля и двинувшего сие ценное вперед» (Ленин В.И.Философские тетради // Ленин В. И. Полное собрание сочинений. Т. 29. М.: Изд-во полит. лит-ры, 1963. С. 301).  
(29) - …сборник – «Что такое марксистская онтология?» – по видимому, сборник с таким названием не был издан.  
(30) - Далее отсутствует небольшой фрагмент доклада, который не был записан по техническим причинам. (Примеч. ред.)  
(31) - Точнее: «Новая стереометрия винных бочек». В этой работе Кеплер выводит формулу для вычисления объема бочки, а затем – и других «неправильных» тел вращения, используя впервые понятие бесконечно малых величин и принципы интегрального исчисления. См. рус. пер.: И. Кеплер. Новая стереометрия винных бочек / Перевод и предисловие Г. Н. Свешникова, вступительная статья М. Я. Выгодского. М. Л.: ГТТИ, 1935.  
(32) - "…как говорил Лем" – источник не установлен.  
(33) - "М.К.Мамардашвили, с его «превращенными формами» и вообще к его концепции сознания" – см., например, статью Мамардашвили «Анализ сознания в работах Маркса» [Мамардашвили, 1968]. Есть несколько переизданий.  
(34) - "…надо ли класть Бриану палец в рот или не надо" – неявная цитата из романа И.Ильфа и Е.Петрова «Золотой теленок».  
(35) - См. [Щедровицкий, 1967, с. 38–42 (Воспроизводство и трансляция «культуры»); 1999а, с. 118–127; Лефевр, Щедровицкий, Юдин, 1967], а также раздел «Проблемы организации исследований: от теоретико мыслительной к оргдеятельностной методологии анализа». (Примеч. ред.)

(Примечание В.Саакова: ссылка на раздел «Проблемы организации исследований...» ведет к «Преисловию» данного издания. Рабочая ссылка на статью здесь -
https://www.fondgp.ru/old/lib/journals/vm/1996/3-4/v963sh10.html)
 
(36) - Речь, по видимому, идет о повести Стругацких «Попытка к бегству».  
(37) - Практически дословная цитата из первого тезиса Маркса из «Тезисов о Фейербахе». Ср.: «Главный недостаток всего предшествующего материализма – включая и фейербаховский – заключается в том, что предмет, действительность, чувственность берется только в форме объекта, или в форме созерцания, а не как человеческая чувственная деятельность, практика, не субъективно» [Маркс, 1955, с. 1].  
(38) - "…папуасы у Миклухо Маклая…" – источник не установлен. (Прим.В.Сааков из ОДИ-воспоминаний - папуасы кричали: Вода, твердая вода!)  
     
 
   
Щедровицкий Георгий Петрович (23.02.1929 - 03.02.1994), философ и методолог, общественный и культурный деятель. Создатель научной школы, лидер основанного и руководимого им на протяжении 40 лет Московского Методологического Кружка (ММК) и развернувшегося на его основе методологического движения. Разрабатывал идею методологии как общей рамки всей мыследеятельности.
- - - - - - - - - - - - - - - -
смотри сайт Фонд "Институт развития им.Щедровицкого"
http://www.fondgp.ru/
- - - - - - - - - - - - - - - -
Щедровицкий Георгий Петрович, 23.02.1929 — 03.02.1994, философ и методолог, общественный и культурный деятель. Создатель научной школы, лидер основанного и руководимого им на протяжении 40 лет Московского Методологического Кружка (ММК) и развернувшегося на его основе методологического движения. Разрабатывал идею методологии как общей рамки всей мыследеятельности. Щедровицкий Георгий Петрович
     
 
 
    © Виталий Сааков,  PRISS-laboratory, с 30 ноября 2025  
    оставить сообщение для PRISS-laboratory
© PRISS-design 2004 социокультурные и социотехнические системы
priss-методология priss-семиотика priss-эпистемология
культурные ландшафты
priss-оргуправление priss-мультиинженерия priss-консалтинг priss-дизайн priss-образование&подготовка
главная о лаборатории новости&обновления публикации архив/темы архив/годы поиск альбом
с 30 нгябрь 2025

последнее обновление
03 январь 2026
07 декабрь 2025
30 нгябрь 2025